Treść zadania
Autor: violetta24 Dodano: 8.3.2012 (19:45)
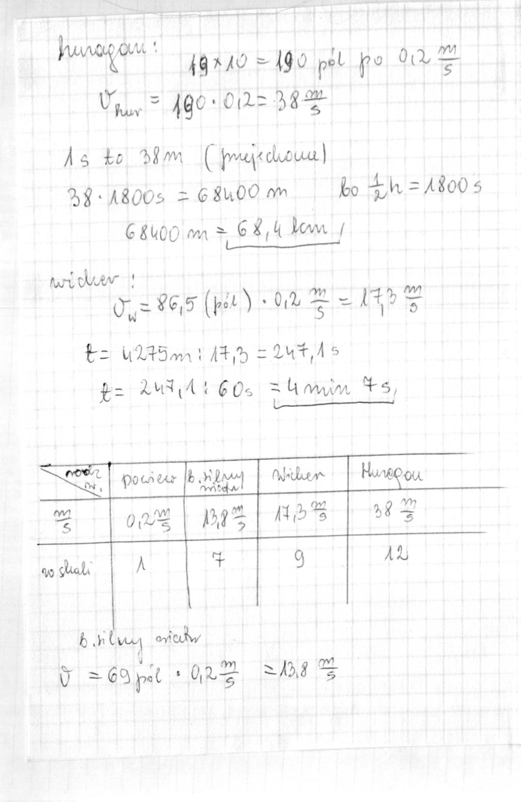
a) korzystając z diagramów uzupełnij tabelką.
b)ile km przejechałby pojazd w ciągu półó godziny, gdyby poruszał się z prędkością huraganu?
c) w jakim czasie pojazd przejechałby 4275 m, gdyby poruszał się z prędkością wichru? wszystko macie podane w załącznikach.
tam ten powiew to jest 0,2 m\s
Zadanie jest zamknięte. Autor zadania wybrał już najlepsze rozwiązanie lub straciło ono ważność.
Najlepsze rozwiązanie
Rozwiązania
0 odpowiada - 0 ogląda - 1 rozwiązań
1 0
emilia35 8.3.2012 (21:52)
rozw w zał.
Załączniki
Dodawanie komentarzy zablokowane - Zgłoś nadużycie