Treść zadania
Autor: Sailor_Moon Dodano: 7.3.2012 (15:44)
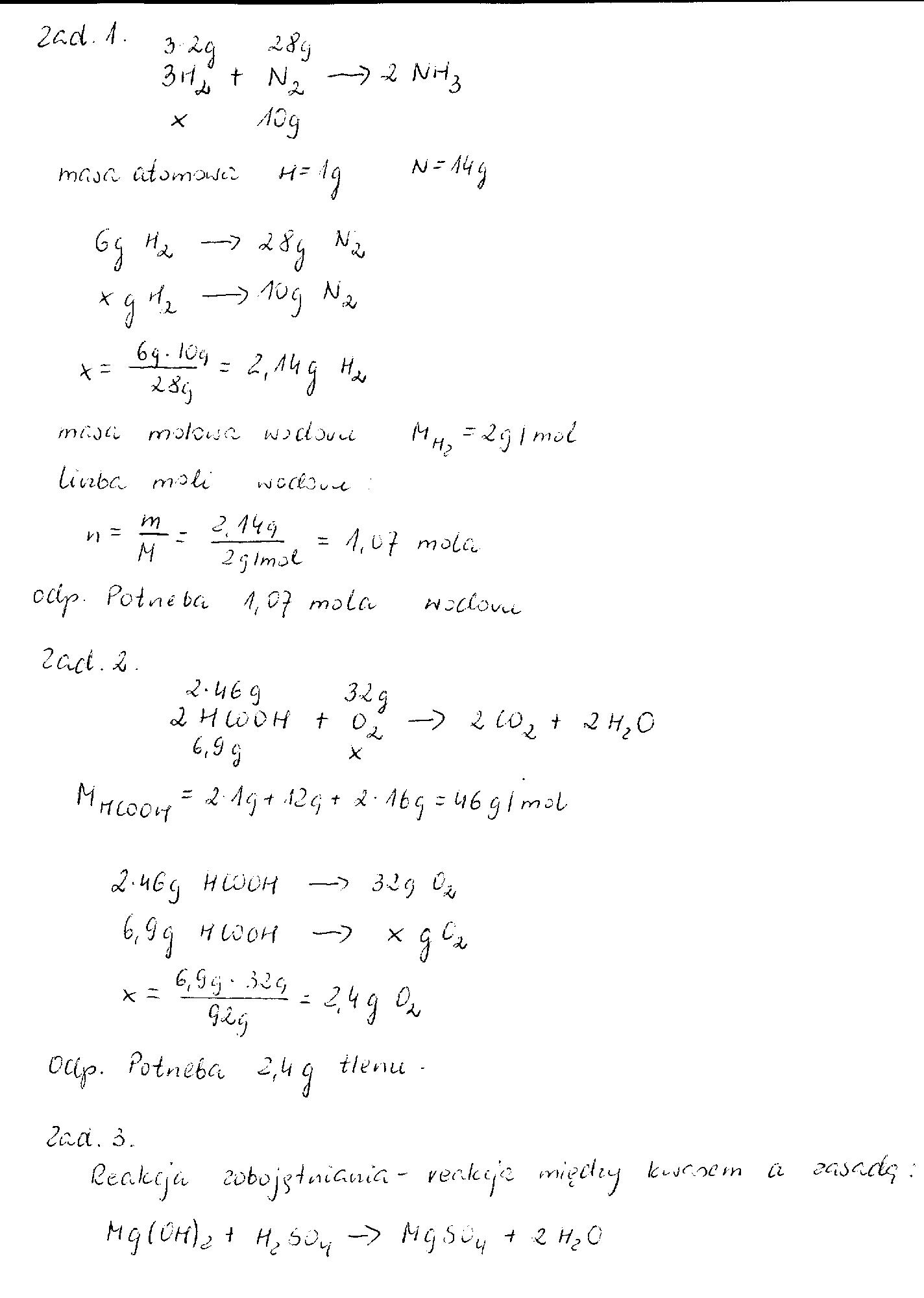
oblicz ile moli wodoru potrzeba do reakcji z 10g azotu
Oblicz, ile gramów tlenu potrzeba do spalenia całkowitego 6,9 g kwasu metanowego.
Reak.cja zobojętniania:
a) MgSO4
2. Reakcja wytrącania
a) azotan miedz.i baru
b) siarczan VI glinu
3. napisz 4 sposoby powstawania soli
a) Węglan baru
b) bromek baru
Zadanie jest zamknięte. Autor zadania wybrał już najlepsze rozwiązanie lub straciło ono ważność.
Najlepsze rozwiązanie
Rozwiązania
Podobne zadania
|
|
1 rozwiązanie | autor: zania344 15.5.2010 (22:26) |
|
|
1 rozwiązanie | autor: zania344 17.5.2010 (11:31) |
|
|
1 rozwiązanie | autor: zania344 17.5.2010 (16:13) |
|
|
1 rozwiązanie | autor: zania344 18.5.2010 (00:03) |
|
|
1 rozwiązanie | autor: paula24 9.6.2010 (14:28) |
Podobne materiały
Przydatność 80% Zadanie z moli- chemia
zadanie 1 Odczytaj z układu okresowego wartości mas atomowych sodu, siarki, tlenu, żelaza i podaj je w atomowych jednostkach masy. Sięgamy po układ okresowy i wyszukujemy wymienione powyżej pierwiastki. np. Sód wygląda mniej więcej tak: Na 22,8898 liczba podana pod symbolem pierwiastka jest masą atomową, zaokrąglamy ją do najbliższej liczby całkowitej, do 23 i...
Przydatność 55% Izotopy wodoru
IZOTOPY WODORU: wodoru, deuteru oraz trytu (proporcje: 1 :1,5-10-4:10-18). Jądro deuteru składa się z protonu i neutronu, natomiast tryt posiada oprócz protonu także dwa neutrony. W roku 1973 radzieckim naukowcom udało się uzyskać metaliczny, stały wodór przy ciśnieniu 2,8 Mbar. Substancja ta wykazuje właściwości nadprzewodzące. Deuter Stabilny, nieradioaktywny izotop...
Przydatność 65% Łączenia wodoru
wodór + siarka= siarkowodór wodór + chlor= chlorowodór wodór + azot = amoniak wodór + fosfor = fosforowodór wodór + tlen = woda wodór + tlenek miedzi (III) = woda wodór + sód = wodorotlenek sodu wodór + wapń = wodorotlenek wapnia
Przydatność 50% Tożsamość, potrzeba
Tożsamość - to prywatny, subiektywny „wewnętrzny autoportret”, obraz własnej osoby, który zawsze wiąże z poczuciem własnej wartości, czyli tym, jak siebie oceniam, co o sobie myślisz i jakie żywisz do siebie uczucia. Potrzeba – to poczucie braku czegoś, bez czego osoba czuje, że nie może żyć lub się rozwijać. Np.: biologiczne i społeczne Biologiczne: potrzeba...
Przydatność 65% Oblicze Ojczyzny
(praca z 1 klasy gima) słowa w wierszu "*** (oblicze ojczyzny)" Tadeusza Różewicza "na początku ojczyzna jest blisko, na wyciągnięcie ręki" oznaczają, że gdy jesteśmy jeszcze mali ojczyzna to rodzice, koledzy i koleżanki, to nasz dom, nasze podwórko. ważniejsze jest wtedy dla nas to, że koleżance zaginął kot, a nie że wielu ludzi nie ma pracy i nie ma za co wyżywić...
0 odpowiada - 0 ogląda - 1 rozwiązań
1 0
ewka13 14.3.2012 (11:50)
Rozwiazanie w załaczniku...
Załączniki
Dodawanie komentarzy zablokowane - Zgłoś nadużycie