Treść zadania

Sailor_Moon

1. NAPISZ WZORY STRUKTURALNE NASTEPUJĄCYCH ESTRÓW
a) MRÓWCZAN ETYLU
b) BENZOESAN FENYLU

2. OBLICZ ILE KG MYDŁA I GLICERYNY POWSTANIE W WYNIKU ZMYDLENIA 10KG TRISTEARYNIANU GLICERYNY ROZTWOREM WODOROTLENKU SODU .

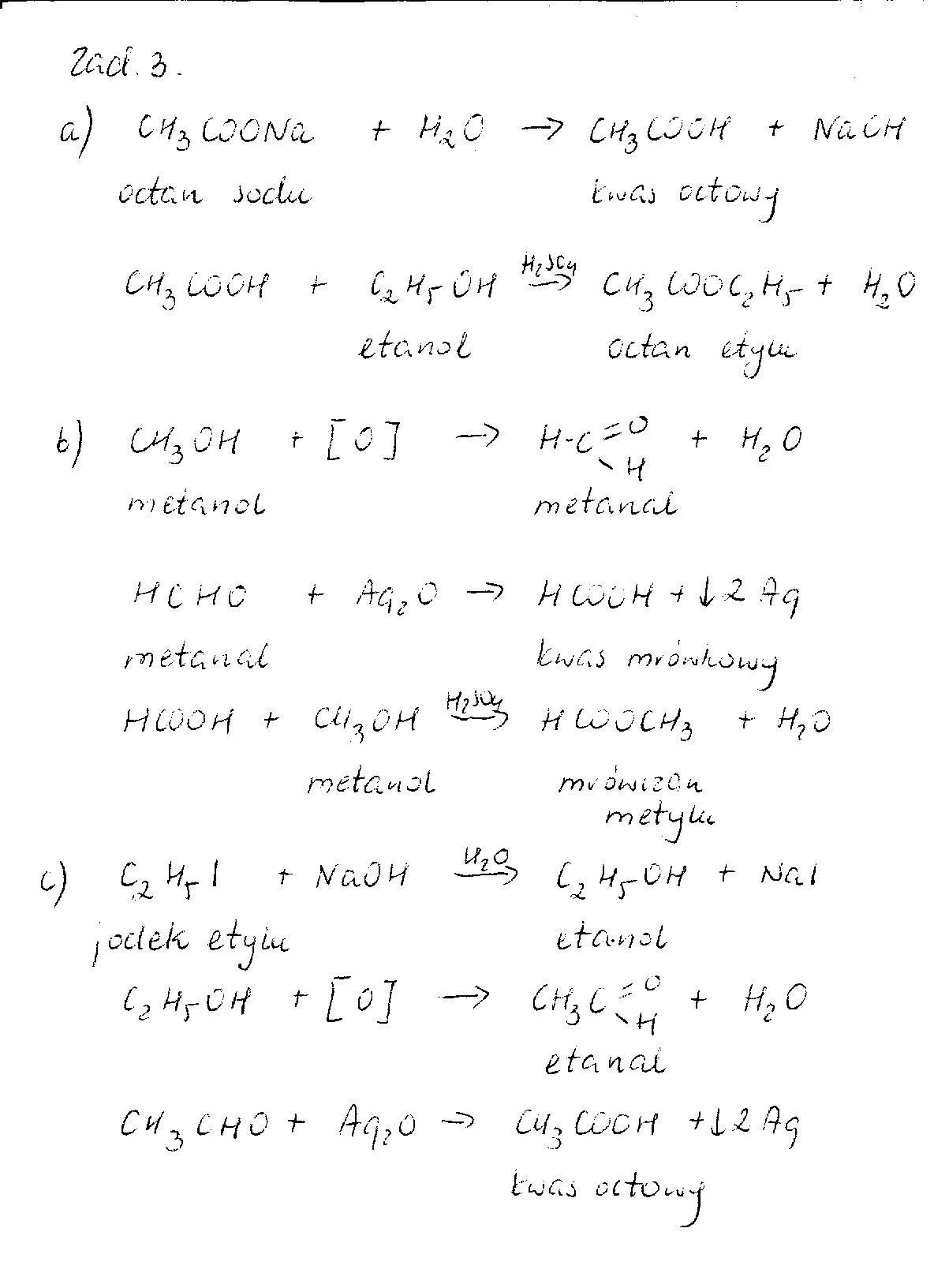
3. UŁÓŻ RÓWNANIA REAKCJI ZA POMOCĄ KTÓRYCH MOZNA DOKONAĆ NASTEPUJĄCYCH PRZEMIAN ;
a) OCTAN SODU -- > KWAS OCTOWY -- > OCTAN ETYLU
b) METANOL -- > METANAL -- > KWAS MRÓWKOWY -- > MRÓWCZAN METYLU
c) JODEK ETYLU -- > ETANOL -- > ETANAL -- > KWAS OCTOWY

Zadanie jest zamknięte. Autor zadania wybrał już najlepsze rozwiązanie lub straciło ono ważność.

Najlepsze rozwiązanie

Rozwiązania

Podobne zadania

paula24 napisz równanie reakcji do następujących schematów C4H9CL ---->ROH Przedmiot: Chemia / Studia 1 rozwiązanie autor: paula24 9.6.2010 (14:33)
kasiaa38 Napisać wzory półstrukturalne związków o podanych Przedmiot: Chemia / Studia 1 rozwiązanie autor: kasiaa38 5.11.2010 (16:13)
madziulek7777 Przedstaw wzory sumaryczne i strukturalne zwiąsków chem.o nazwach a)kwas Przedmiot: Chemia / Studia 2 rozwiązania autor: madziulek7777 15.11.2010 (22:28)
alutka2109 2.Uzgodnij równania redoks , napisz wskaz uttleniacz reduktor i reakcje Przedmiot: Chemia / Studia 1 rozwiązanie autor: alutka2109 20.1.2011 (07:31)
kp93 1)Narysuj wzory strukturalne następujących Przedmiot: Chemia / Studia 1 rozwiązanie autor: kp93 13.2.2011 (12:47)

Podobne materiały

Przydatność 70% Fundusze strukturalne

I WSTĘP Podstawą interwencji polityki strukturalnej Unii Europejskiej są zapisy w Traktacie ustanawiającym Wspólnotę Europejską , zakładające m.in. wzmocnienie poziomu spójności ekonomicznej i społecznej w ramach tej organizacji, służące osiągnięciu podstawowych celów działania Wspólnot Europejskich. Cele te, obejmują: - wysoki poziom ochrony i jakości środowiska...

Przydatność 80% Fundusze strukturalne

praca na temat 4 funduszy strukturalnych

Przydatność 50% Wzory

Kinematyka V= s : t – szybkość średnia (ruch jednostajny) a= V : t – przyspieszenie (ruch przyspieszony) s= (a*t2) : 2 – droga (ruch przyspieszony) V= a*t – prędkość końcowa (ruch przyspieszony) s= 0,5 * V0 * t – droga w ruchu jednostajnie opóźnionym Dynamika F [N] – siła 1N = kg*m/s2 Fw – siła wypadkowa m [kg] – masa Fc –...

Przydatność 55% Wzory

l = 2п r – długość okręgu п = 3,14 P = п r2 – pole koła a√2 – przekątna w kwadracie h = (a√3) : 2 – wysokość trójkąta równobocznego P = (a√3) : 4 – pole trójkąta równobocznego r = h : 3 – promień okręgu wpisanego w trójkąt równoboczny R = 2h : 3 – promień okręgu opisanego na trójkącie równobocznym r = a :2 –...

Przydatność 60% Wzory

tresc w załączniku

0 odpowiada - 0 ogląda - 1 rozwiązań

Dodaj zadanie

Zobacz więcej opcji