Treść zadania

Sailor_Moon

1. Ułóż równania obrazujące następujące przemiany
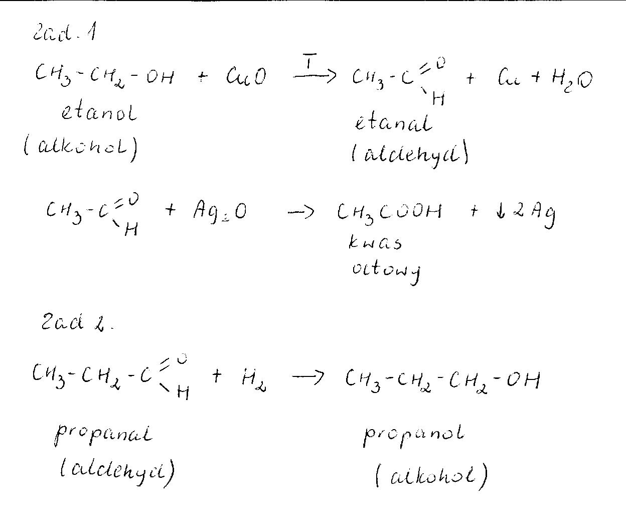
etanol → etanal → kwas octowy


2. Ułóż równanie obrazujące następującą przemianę
propanal → propanol

Zadanie jest zamknięte. Autor zadania wybrał już najlepsze rozwiązanie lub straciło ono ważność.

Najlepsze rozwiązanie

  • 2 0

    Zad 1.
    CH_{3}-CH_{2}-OH + CuO \xrightarrow {T} CH_{3}-CHO + Cu + H_{2}O

    CH_{3}-CHO + Ag_{2}O \to CH_{3}COOH + \downarrow 2Ag

    Zad 2.
    CH_{3}-CH_{2}-CHO + H_{2} \to CH_{3}-CH_{2}-CH_{2}-OH

    Lepiej widać te reakcje gdy napisze się grupy strukturalnie...w załączniku...

    Załączniki

Rozwiązania

Podobne zadania

Sailor_Moon 1.Otrzymaj: etanol etanal kwas butanowy maślan etylu butan Przedmiot: Chemia / Studia 1 rozwiązanie autor: Sailor_Moon 21.4.2012 (19:25)
Sailor_Moon Dokonaj przemian Etan -> Chloroetan-> Etanol -> Etanal -> Kwas Przedmiot: Chemia / Studia 1 rozwiązanie autor: Sailor_Moon 11.6.2012 (16:32)

0 odpowiada - 0 ogląda - 1 rozwiązań

Dodaj zadanie

Zobacz więcej opcji