Treść zadania

NuklearnyPingwin

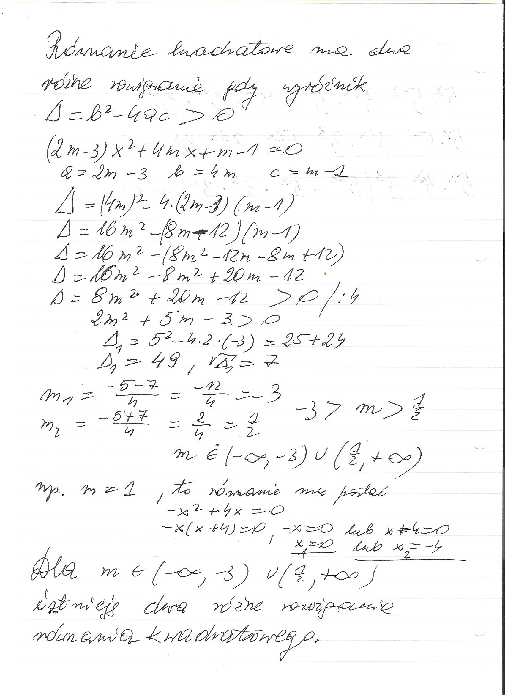
Dla jakiego m istnieją 2 różne rozwiązania x1 i x2
(2m-3)x2+4m+m-1=0

Zadanie jest zamknięte. Autor zadania wybrał już najlepsze rozwiązanie lub straciło ono ważność.

Rozwiązania

Podobne zadania

patiwit a)do jakiego przedziału należy x, jeżeli: x>2 i x<3. b)wyznacz Przedmiot: Matematyka / Liceum 1 rozwiązanie autor: patiwit 18.10.2010 (12:01)
mika942 Dla jakiego x liczby: 2, x-1i 32 tworzą w podanej kolejności ciąg: a) Przedmiot: Matematyka / Liceum 2 rozwiązania autor: mika942 19.11.2010 (14:59)
monik660 Dla jakiego k proste: (k+1)x-y=2 3k*x+2y-7=0 sa prostopadłe? Przedmiot: Matematyka / Liceum 1 rozwiązanie autor: monik660 12.12.2010 (15:11)
urabura Do jakiego przedziału należy X jeżeli: a)x>lub rowne -1 i x<lub Przedmiot: Matematyka / Liceum 2 rozwiązania autor: urabura 20.1.2011 (12:51)
szkrab11 para liczb(2, -2) jest rozwiązaniem jakiego układu? Przedmiot: Matematyka / Liceum 2 rozwiązania autor: szkrab11 27.1.2011 (16:54)

Podobne materiały

Przydatność 75% Bóg istnieje

Wielu ludziom mogłoby się wydawać ,że Bóg nie istnieje ponieważ go nie widać, niestety ludziom takowym racji przyznać nie mogę. Otóż Bóg istnieje i jest widoczny tutaj na ziemi, niektórzy ludzie od razu odpowiedzą że to przecież nieprawda, bo osoby wyobrażają sobie Boga jako staruszka z długą brodą który, siedzi na chmurce, i spogląda na nas z góry. Takie myślenie jest...

Przydatność 100% Kapłan jakiego szukam.

Kapłanem jakiego szukam będzie osoba która ofiarowała swoje życie Bogu, jest godna naszego zaufania, bezinteresownie pomaga potrzebującym, umie poradzić sobie z ich problemami. Taki kapłan powinien dobrze wykonywać swoją służbę, być całkowicie oddanym Bogu, wiernie kroczyć jego ścieżkami i działać zgodnie z jego wolą. Musi być to kapłan z powołania który wkłada w...

Przydatność 50% Jaka rzeka do jakiego morza

Dwina-Białe,Ebro,Duero,Gwadalkiwir-Oc.Atlant.Dunaj,Dniepr-Czarne,Wołga,Ural-Kaspijskie,Eufrat,Tygrys-Zat.Perska,Indus-Arabskie,Ganges,Irawadi,Salin-Zat.Bengalska,Jangcy-M.Wsch.Chińskie,Rzeka...

Przydatność 85% Czy dulszczyzna istnieje dziś?

Dulszczyzna to postawa życiowa polegająca na tworzeniu pozorów przyzwoitości oraz braku zrozumienia dla potrzeb intelektualnych. Pojęcie to stworzyła Grażyna Zapolska, autorka tragikomedii "Moralność pani Dulskiej". W utworze tym główna bohaterka, Aniela Dulska, tworzy pozory, by przedstawić siebie w jak najlepszym świetle. Chce ukryć skrzętnie wszystkie swoje wady i "brudy...

Przydatność 60% Sprawiedliwość czy jeszcze istnieje.

Gdzie ta sprawiedliwość? Kiedy w piątek 18.11.2005r rozmyślałam Sobie czy jeszcze na świecie jest jakaś sprawiedliwość .Gdy wracałam ze szkoły, uświadomiłam sobie, że nie zawsze jest tak jak by się chciało żeby było. Stwierdziłam też, że im bardziej się czegoś chce, tym bardziej nam to nie wychodzi. Idąc ulicą mijałam niskiego pana. Myślę, że około...

0 odpowiada - 0 ogląda - 2 rozwiązań

Dodaj zadanie

Zobacz więcej opcji