Treść zadania
Autor: kaczysty1234 Dodano: 21.2.2012 (19:37)
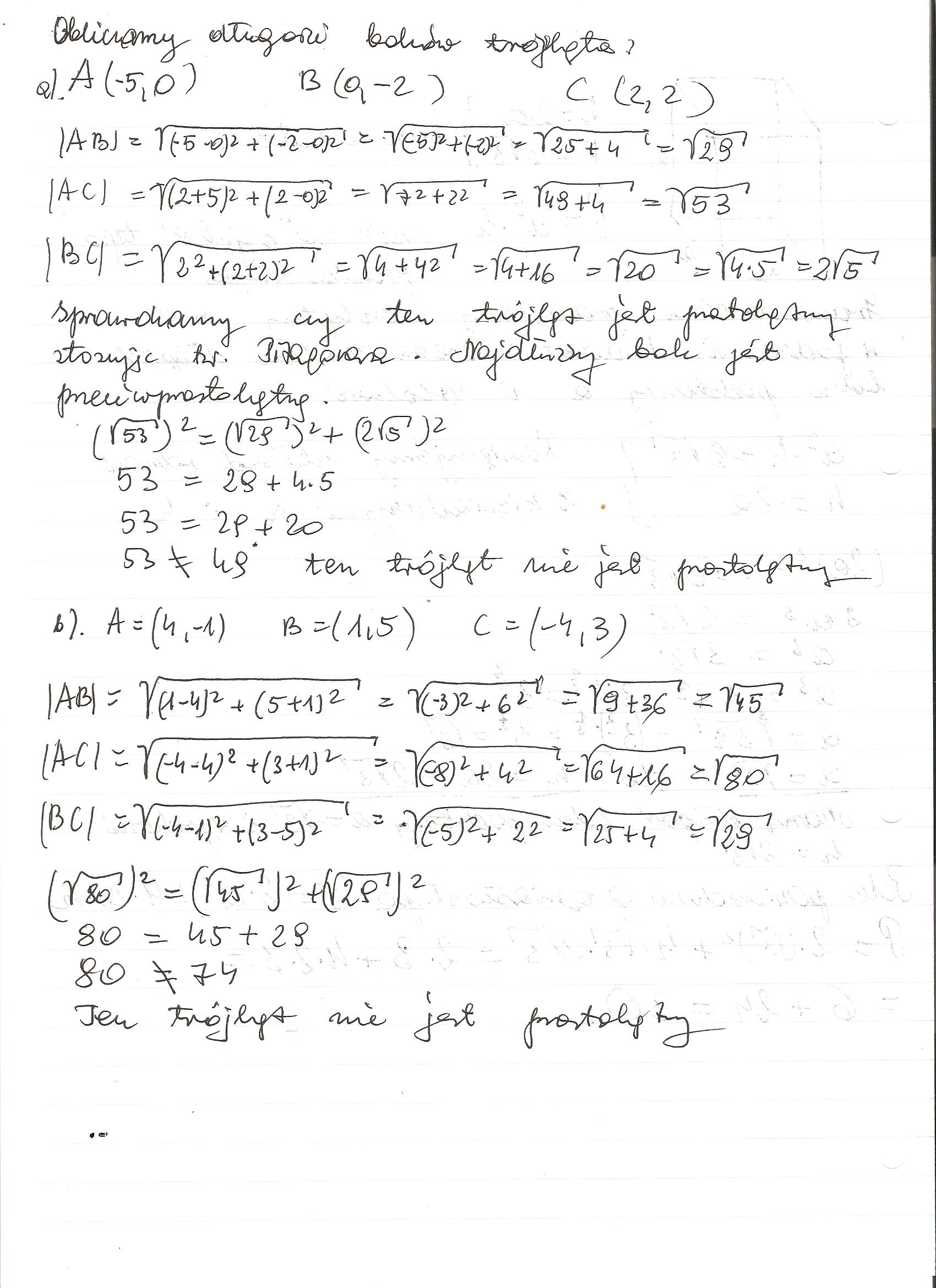
Sprawdż czy trójkąt jest prostokątny a) A=(-5,0.) B=(0,-2) C=(2,2) b) A(4,-1) B=(1,5) C=(4,3)
Zadanie jest zamknięte. Autor zadania wybrał już najlepsze rozwiązanie lub straciło ono ważność.
Rozwiązania
Podobne zadania
|
|
3 rozwiązania | autor: misiek33456 28.3.2010 (14:49) |
|
|
2 rozwiązania | autor: agata96 28.3.2010 (21:46) |
|
|
4 rozwiązania | autor: hipopotam 29.3.2010 (21:09) |
|
|
1 rozwiązanie | autor: agacik 7.4.2010 (20:38) |
|
|
2 rozwiązania | autor: TwojLizaczek 8.4.2010 (21:39) |
0 odpowiada - 0 ogląda - 1 rozwiązań
0 0
rybitwa11 21.2.2012 (22:56)
rozwiązanie w załączniku
Załączniki
Dodawanie komentarzy zablokowane - Zgłoś nadużycie