Zadanie jest zamknięte. Autor zadania wybrał już najlepsze rozwiązanie lub straciło ono ważność.
Najlepsze rozwiązanie
Rozwiązania
Podobne zadania
|
|
1 rozwiązanie | autor: Ewunia2906 26.5.2018 (17:54) |
0 odpowiada - 0 ogląda - 1 rozwiązań
Zadanie jest zamknięte. Autor zadania wybrał już najlepsze rozwiązanie lub straciło ono ważność.
|
|
1 rozwiązanie | autor: Ewunia2906 26.5.2018 (17:54) |
0 odpowiada - 0 ogląda - 1 rozwiązań
1 0
rybitwa11 21.2.2012 (12:05)
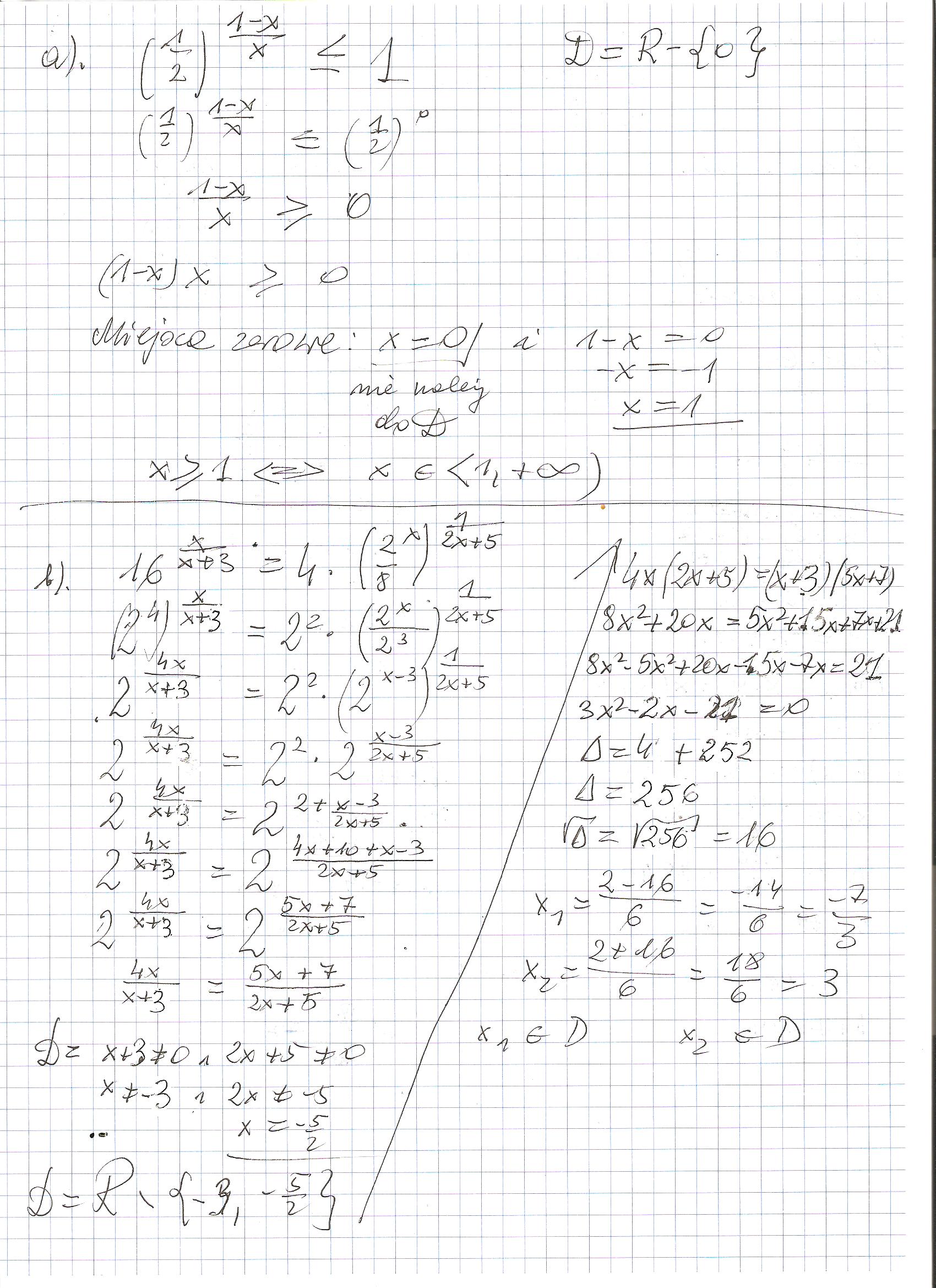
rozw w załączniku
Załączniki
Dodawanie komentarzy zablokowane - Zgłoś nadużycie