Treść zadania
Autor: budzik Dodano: 15.2.2012 (17:15)
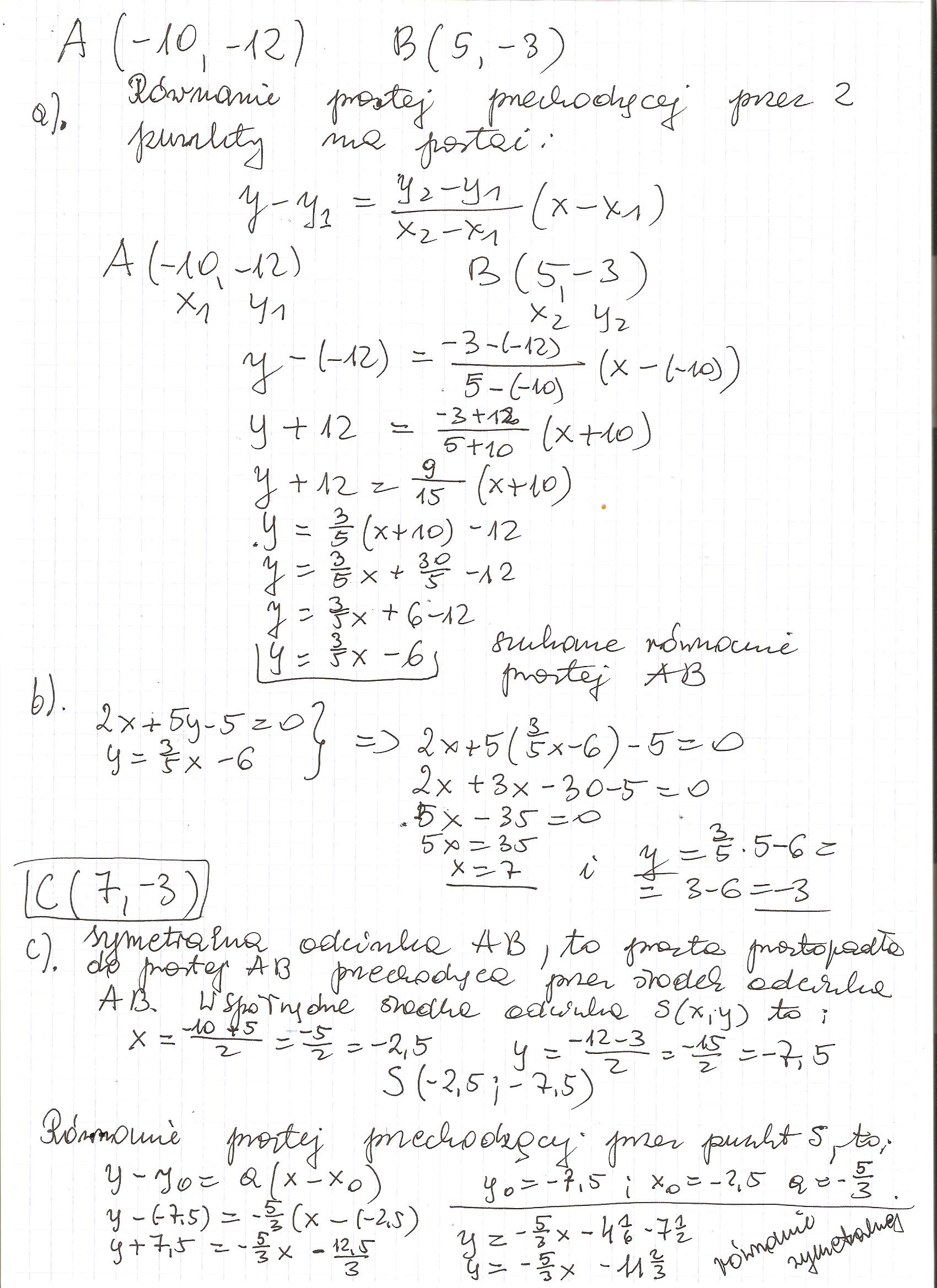
Dane są punkty A(-10,-12) oraz B(5,-3)
a) napisz równanie prostej AB
b) Prosta AB przecina prosta k; 2x+5y-5=0 w punkcie C. Oblicz wspolredne punktu C
c) wyznacz równanie symetralnej odcinka AB
Zadanie jest zamknięte. Autor zadania wybrał już najlepsze rozwiązanie lub straciło ono ważność.
Najlepsze rozwiązanie
Rozwiązania
Podobne zadania
|
|
2 rozwiązania | autor: agatka 29.3.2010 (09:25) |
|
|
2 rozwiązania | autor: iwona5000 17.4.2010 (11:34) |
|
|
1 rozwiązanie | autor: angelika1990 8.4.2010 (18:05) |
|
|
2 rozwiązania | autor: rafaljanek 8.4.2010 (19:03) |
|
|
1 rozwiązanie | autor: aluszacedro 12.4.2010 (15:09) |
Podobne materiały
Przydatność 60% Polska - ogółne dane
Polozenie polski na kuli ziemskiej. Polska ma szer pół. a dł wschodnia. Konsekwencje rozciaglosci poludnikowej jest roznica trwania dnia miedzy pół. a poł. Czerwca w Polsce dzien trwa 17h20min w gdyni i jest dluzszy o 1h20min Zakopanem. Konsekwencja rozciaglosci rownoleznikowej jest roznica we wschodzie slonaca, slonce wschodzi wczesniej o 40 min na wsch Polski. Czas letni wedlug...
Przydatność 60% Chorwacja - główne dane
CHORWACJA. PRZEMYSŁ. Główną rolę w gospodarce Chorwacji odgrywa przemysł przetwórczy o zróżnicowanej strukturze gałęziowej; do najważniejszych gałęzi należą: hutnictwo żelaza (Sisak) i aluminium (Lozovac, Razine), przemysł stoczn. (Rijeka, Split, Pula) oraz petrochem. (Sisak, Osijek, Split); duże znaczenie ma przemysł maszyn. (m.in. fabryki: obrabiarek — Zagrzeb, maszyn...
Przydatność 75% Księżyc - ogólne dane
1.Księżyc : To naturalny satelita Ziemi. Otacza ją po swojej orbicie oddalonej od planety o 384400km. Jest piątym co do wielkości Księżycem w Układzie Słonecznym. Średnica Księżyca wynosi trochę więcej niż 1/4 średnicy Ziemi. Przyspieszenie grawitacyjne na jego powierzchni jest blisko 6 razy słabsze, niż na Ziemi (1,6 n/kg). Cały czas widzimy tylko jedną stronę...
Przydatność 70% Saint Simon - główne punkty jego myśli socjologicznej
1. Wpływ Wielkiej Rewolucji Francuskiej na myśl Saint-Simona Za punkt wyjścia do przedstawienia poglądów Saint-Simona przyjmuje się moment, w którym zdał on sobie sprawę, że rozwój społeczeństwa w okresie między Reformacją a Rewolucją Francuską i wojnami napoleońskimi doprowadził do rozkładu porządku feudalnego, ale na jego miejsce nie wniósł porządku równie...
Przydatność 85% Coming out - wszystko o homoseksualizmie w prostej wersji.
‘’COMING OUT’’ Czy orientacja seksualna naprawdę jest nie do zmiany? Orientacja seksualna oznacza preferowaną płeć partnera seksualnego. Jest to program wpisany w ośrodkowy układ nerwowy. Póki co, nie ma żadnych metod, żeby ten program zmienić. Człowiek rodzi się albo heteroseksualny, albo homoseksualny, albo...
0 odpowiada - 0 ogląda - 1 rozwiązań
1 0
rybitwa11 15.2.2012 (18:15)
dokończenie zadania
y=-5/3x-11 2/3
y=-5/3x-35/3
3y=-5x-35
5x+3y+35=0
równanie symetralnej w postaci ogólnej
Załączniki
Dodawanie komentarzy zablokowane - Zgłoś nadużycie