Zaliczaj.pl
Liceum » Matematyka
Dodaj do ulubionych Drukuj
Autor: NuklearnyPingwin Dodano: 15.2.2012 (17:10)
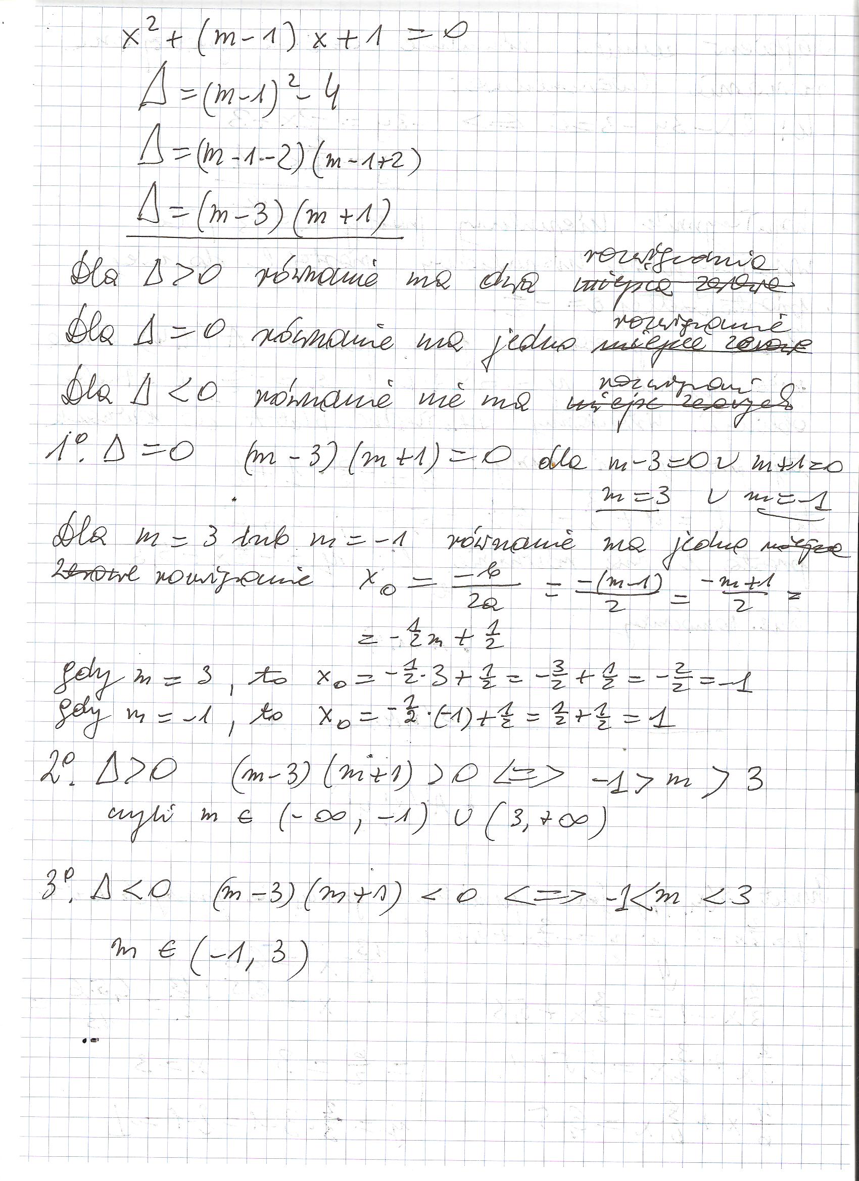
x2+(m-1)x+1=0
Zgłoś nadużycie
Zadanie jest zamknięte. Autor zadania wybrał już najlepsze rozwiązanie lub straciło ono ważność.
2 0
rybitwa11 15.2.2012 (17:45)
rozwiązanie w załączniku- nie podałęś polecenia więc rozpatrzyłam przypadki , wybierz sobie .
Dodawanie komentarzy zablokowane - Zgłoś nadużycie
0 odpowiada - 0 ogląda - 1 rozwiązań
Zobacz więcej opcji
2 0
rybitwa11 15.2.2012 (17:45)
rozwiązanie w załączniku- nie podałęś polecenia więc rozpatrzyłam przypadki , wybierz sobie .
Załączniki
Dodawanie komentarzy zablokowane - Zgłoś nadużycie