Zaliczaj.pl
Liceum » Matematyka
Dodaj do ulubionych Drukuj
Autor: norbert12 Dodano: 10.2.2012 (20:15)
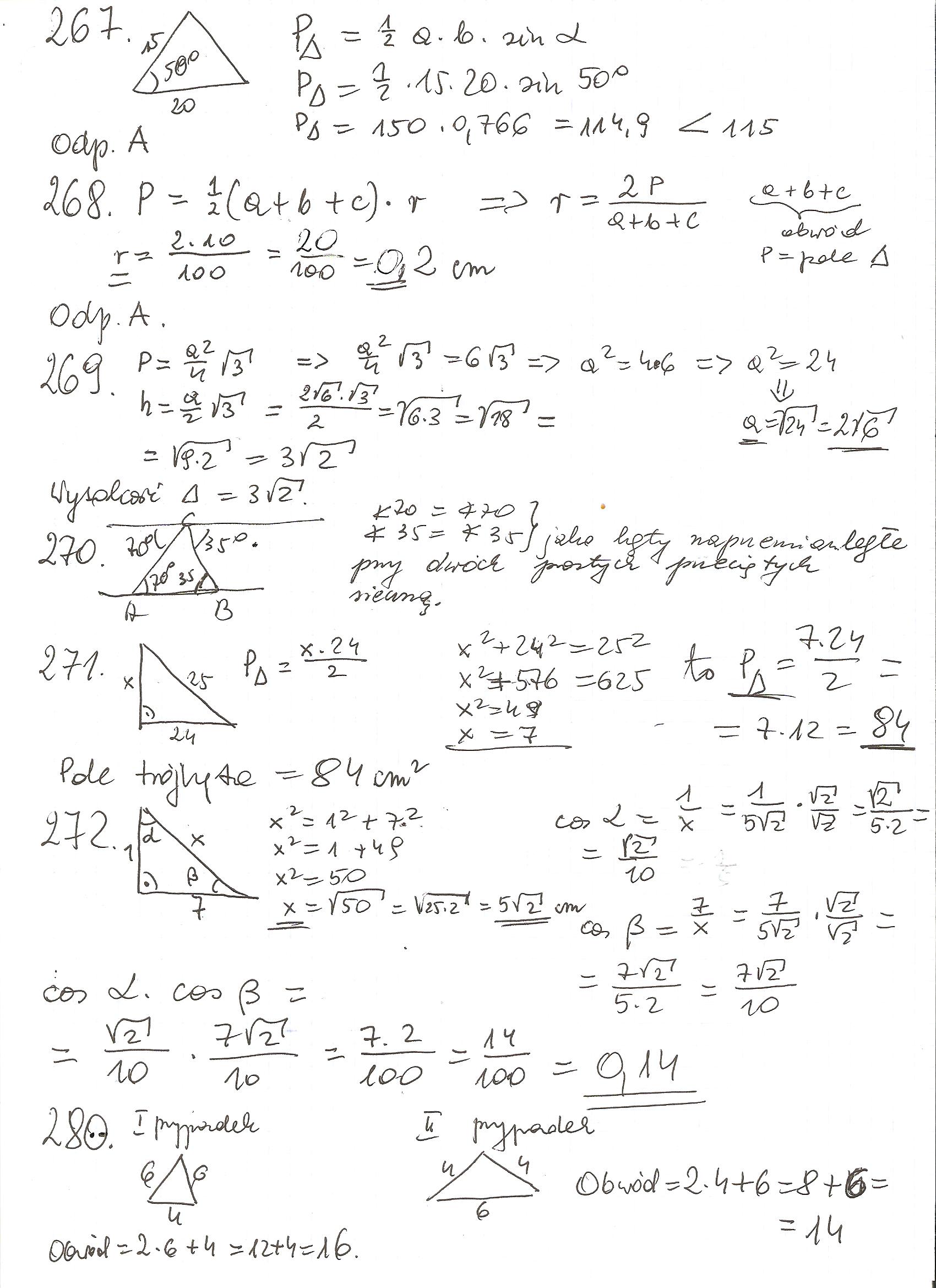
mam w załocznikuj
Zgłoś nadużycie
Zadanie jest zamknięte. Autor zadania wybrał już najlepsze rozwiązanie lub straciło ono ważność.
2 0
rybitwa11 10.2.2012 (23:41)
rozw w zał
Dodawanie komentarzy zablokowane - Zgłoś nadużycie
0 odpowiada - 0 ogląda - 1 rozwiązań
Zobacz więcej opcji
2 0
rybitwa11 10.2.2012 (23:41)
rozw w zał
Załączniki
Dodawanie komentarzy zablokowane - Zgłoś nadużycie