Treść zadania
Autor: aniaxddd Dodano: 9.2.2012 (15:40)
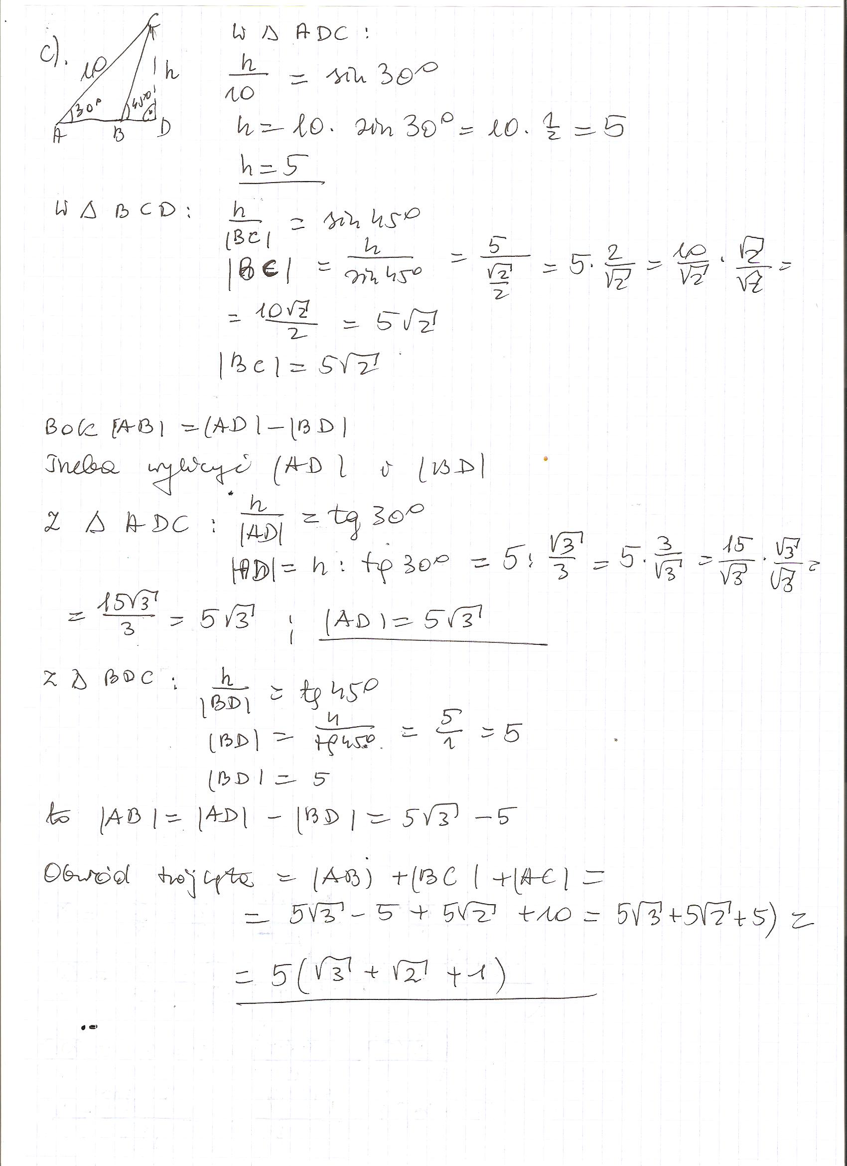
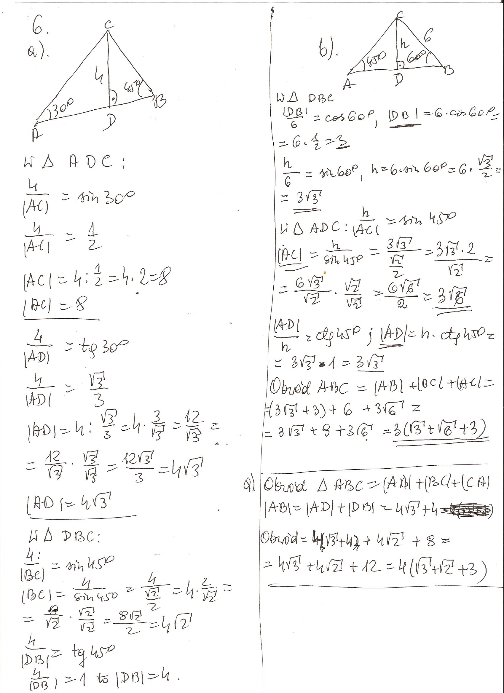
oblicz obwody narysowanych trójkątów .
proszę o pomoc. daję naj.
zadanie w zalączniku
Zadanie jest zamknięte. Autor zadania wybrał już najlepsze rozwiązanie lub straciło ono ważność.
Najlepsze rozwiązanie
Rozwiązania
Podobne zadania
|
|
2 rozwiązania | autor: anett 28.3.2010 (18:59) |
|
|
1 rozwiązanie | autor: martamika007 29.3.2010 (18:59) |
|
|
1 rozwiązanie | autor: martamika007 29.3.2010 (19:00) |
|
|
2 rozwiązania | autor: violetisavictim 30.3.2010 (16:30) |
|
|
2 rozwiązania | autor: violetisavictim 30.3.2010 (17:40) |
Podobne materiały
Przydatność 65% Oblicze Ojczyzny
(praca z 1 klasy gima) słowa w wierszu "*** (oblicze ojczyzny)" Tadeusza Różewicza "na początku ojczyzna jest blisko, na wyciągnięcie ręki" oznaczają, że gdy jesteśmy jeszcze mali ojczyzna to rodzice, koledzy i koleżanki, to nasz dom, nasze podwórko. ważniejsze jest wtedy dla nas to, że koleżance zaginął kot, a nie że wielu ludzi nie ma pracy i nie ma za co wyżywić...
Przydatność 55% Obwody figur
plik zawiera rysunki figur geometrycznych i przykładowe obwody
Przydatność 55% wiersz Oblicze ojczyzny
Czytając wiersz Tadeusz Różewicza pt.Oblicze ojczyzny odnoszę wrażenie,iż poeta miał szczęśliwe dzieciństwo,chociaż lata w których przyszło mu dorastać nie należały do spokojnych.Wojna i okupacja nie zatarły jednak beztroskich i pełnych ciepłych barw wspomnień poety. Kiedy jest się dzieckiem,całym światem są najbliżsi: mama,tata i...
Przydatność 65% Drugie oblicze opalania
Praca w załączniku
Przydatność 65% Pola i obwody figur
KWADRAT P=a^2 lub 1/2d1*d2 Ob=4a PROSTOKĄT P=a*b Ob=2a 2b TRÓJKĄT P=1/2a*h Ob=a b c ROMB P=1/2d1*d2 Ob=4a RÓWNOLEGŁOBOK P=a*h Ob=2a 2b TRAPEZ P=(a b):2*h Ob=2r a b DELTOID P=(d1*d2):2 Ob=2a 2b KOŁO P=pi*r2 Ob=2pi*r * - mnożenie : - dzielenie ^ - potęga 1/2 - ułamek a - bok pierwszy b - bok drugi c - bok trzeci h - wysokość d1 -...
0 odpowiada - 0 ogląda - 1 rozwiązań
1 0
rybitwa11 9.2.2012 (17:04)
rozw w zał
Załączniki
Dodawanie komentarzy zablokowane - Zgłoś nadużycie