Zadanie jest zamknięte. Autor zadania wybrał już najlepsze rozwiązanie lub straciło ono ważność.
Najlepsze rozwiązanie
Rozwiązania
Podobne zadania
|
|
1 rozwiązanie | autor: Ewunia2906 26.5.2018 (17:54) |
0 odpowiada - 0 ogląda - 2 rozwiązań
Zadanie jest zamknięte. Autor zadania wybrał już najlepsze rozwiązanie lub straciło ono ważność.
|
|
1 rozwiązanie | autor: Ewunia2906 26.5.2018 (17:54) |
0 odpowiada - 0 ogląda - 2 rozwiązań
1 0
52ewa 1.2.2012 (18:22)
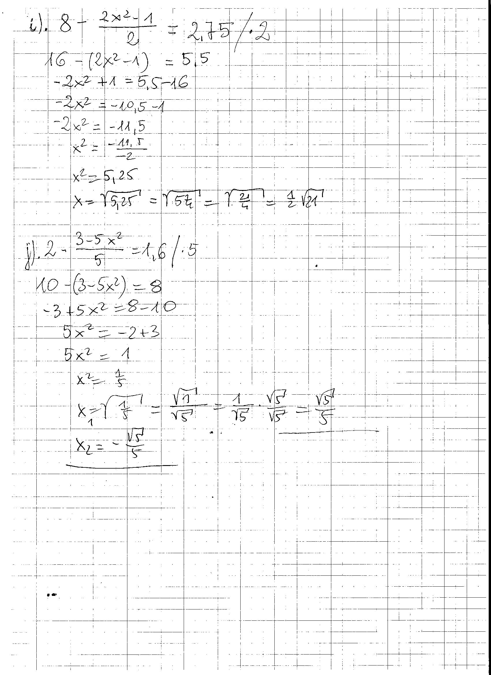
W załączniku
Załączniki
Dodawanie komentarzy zablokowane - Zgłoś nadużycie