Treść zadania
Autor: ola1995 Dodano: 31.1.2012 (21:08)
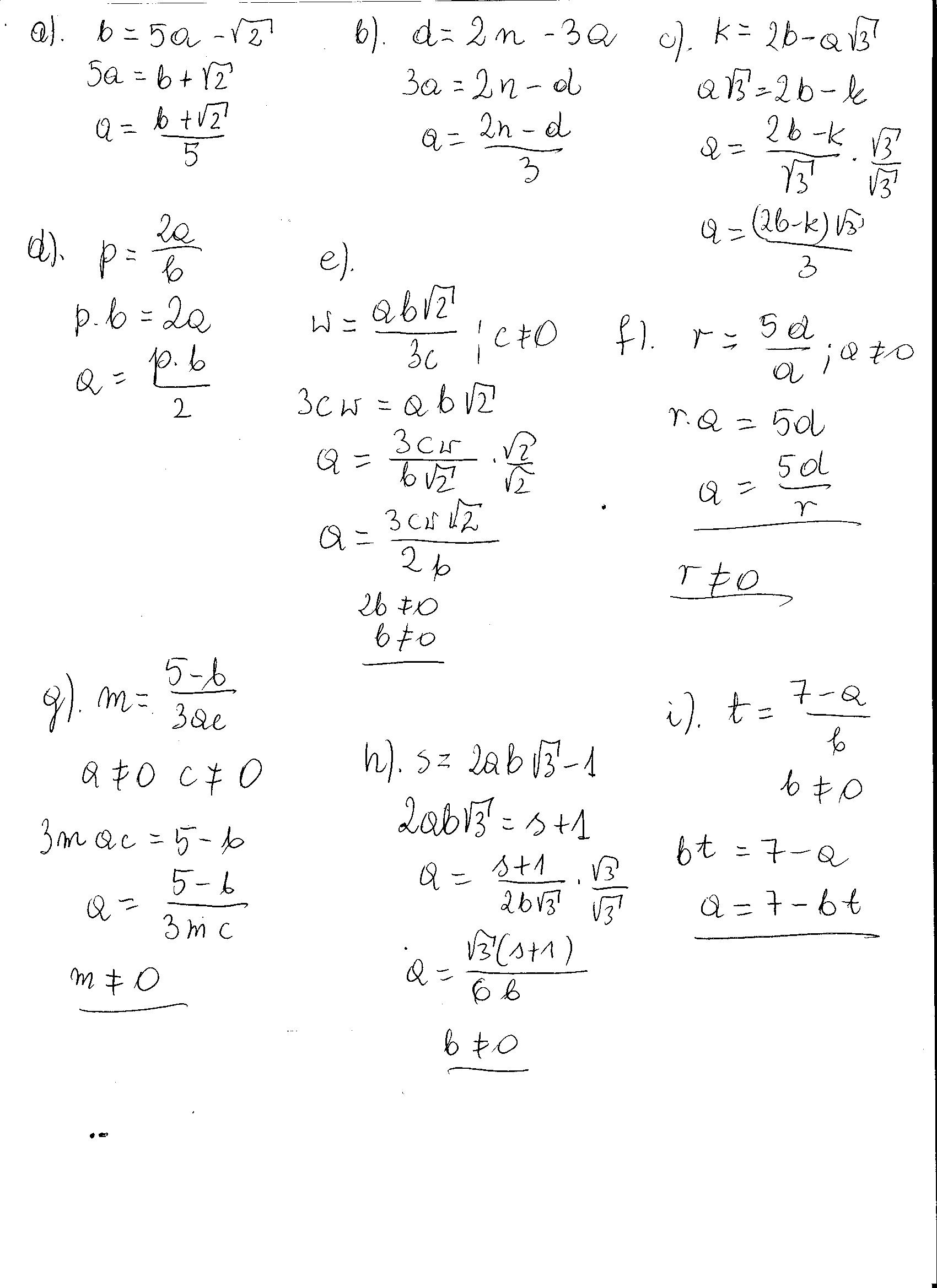
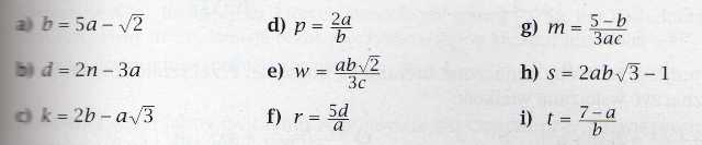
Z podanego wzoru wyznacz a (jeśli to konieczne, zapisz odpowiednie założenia dla wielkości występujących we wzorach
ZAŁĄCZNIK
Zadanie jest zamknięte. Autor zadania wybrał już najlepsze rozwiązanie lub straciło ono ważność.
Najlepsze rozwiązanie
Rozwiązania
Podobne zadania
|
|
2 rozwiązania | autor: MartaGrzeszczak1 29.3.2010 (17:43) |
|
|
2 rozwiązania | autor: nikola29 15.4.2010 (19:01) |
|
|
1 rozwiązanie | autor: lukaszunkile 18.4.2010 (16:16) |
|
|
2 rozwiązania | autor: Aneciorek 20.4.2010 (20:46) |
|
|
2 rozwiązania | autor: dalia 20.4.2010 (22:11) |
Podobne materiały
Przydatność 50% Romantyczna profetyka. Wykorzystaj odpowiednie utwory.
Profetyzm - zjawisko występowania proroków; znane wielu religiom (zwłaszcza judaizm). "Dziady" cz. III. W Widzeniu księdza Piotra zamieścił Mickiewicz wizję Polski jako zbawiciela narodów. Ksiądz Piotr ujrzał historię Polski na kształt męki Chrystusa - poprzez sąd, drogę krzyżową, ukrzyżowanie i wniebowstąpienie. Proroctwo Przyszłości jaką ujrzał, jest...
Przydatność 65% "Czy wysyłanie dzieci na wycieczki przez rodziców jest konieczne"
Prawie każdy człowiek marzy o podróżach. Najwięcej czasu na zwiedzanie mamy, kiedy jeszcze nie pracujemy. Dlatego tez będę się starał bronić tezy, iż wysyłanie dzieci na wycieczki przez rodziców jest konieczne. Pierwszym argumentem przemawiającym za słusznością mojej tezy jest fakt, iż dzięki podróżom wzbogacamy swoja osobowość poznajemy nowe kultury i...
Przydatność 65% List, w którym wyznacze cele na nowy rok szkolny.
Przysietnica 02.09.2009 Angeliko! Pierwszego września rozpoczęłam nowy rok szkolny. Pamiętam, że jest to dzień szczególny, także z powodu siedemdziesiątej rocznicy wybuchu II Wojny Światowej. Wiem, że wtedy wiele dzieci ie mogło...
Przydatność 60% Idea wzoru do naśladowania - władcy na podstawie "Kroniki" Galla Anonima.
Na początek słów kilka o autorze naszej (polskiej) kroniki. A więc Gall Anonim jest postacią definitywnie tajemniczą. Współcześni wiedzą o nim tylko tyle iż przybył do polski z Galii i był prawdopodobnie mnichem o czym świadczy jego wykształcenie( potrafił pisać). Dlatego pseudonim tego pisarza brzmi właśnie Gall-bo pochodził z Galli i Anonim-bo nie miał imienia. W...
Przydatność 65% Wielkie polemiki epoki romantyzmu. Wykorzystaj odpowiednie przykłady literackie.
Polemika pomiędzy zwolennikami klasycyzmu (do tej grupy należało starsze pokolenie uczonych i literatów, m.in. Jan Śniadecki, Kajetan Koźmian, L.Osiński, Franciszek Dmochowski), a orientacją młodych romantyków (Kazimierz Brodziński, Maurycy Mochnacki, Adam Mickiewicz). Spór rozegrał się w latach 1818-1830. Reprezentatywne głosy w tej sprawie to "O klasyczności i...
0 odpowiada - 0 ogląda - 1 rozwiązań
1 0
rybitwa11 31.1.2012 (21:47)
rozw w zał
Załączniki
Dodawanie komentarzy zablokowane - Zgłoś nadużycie