Treść zadania
Autor: light1122 Dodano: 31.1.2012 (18:25)
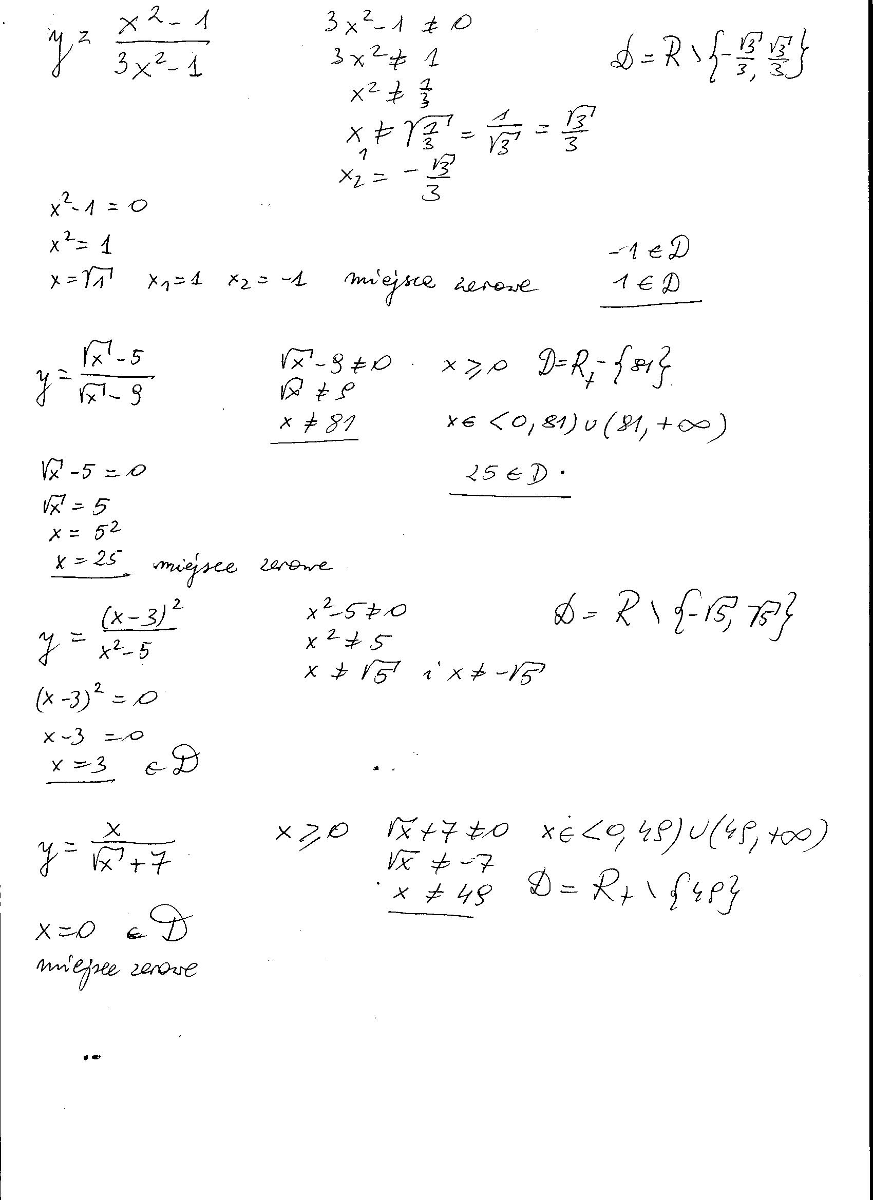
Oblicz dziedzine i miejsca zerowe funkcji
y=x^2-1/3x^2-1
y=√x-5/√x-9
y=(x-3)^2/x^2-5
y=x/√x+7
Zadanie jest zamknięte. Autor zadania wybrał już najlepsze rozwiązanie lub straciło ono ważność.
Najlepsze rozwiązanie
Rozwiązania
Podobne zadania
|
|
2 rozwiązania | autor: anett 28.3.2010 (18:59) |
|
|
1 rozwiązanie | autor: martamika007 29.3.2010 (18:59) |
|
|
1 rozwiązanie | autor: martamika007 29.3.2010 (19:00) |
|
|
2 rozwiązania | autor: violetisavictim 30.3.2010 (16:30) |
|
|
2 rozwiązania | autor: violetisavictim 30.3.2010 (17:40) |
Podobne materiały
Przydatność 50% Miejsca zerowe Funkcji Kwadratowej
zad 5,7 5,8 5,9 str 293 podręcznik I klasa liceum Prosto do matury: M. Antek, K. Belka, P. Grabowski zad 5,7 Suma kwadratów trzech kolejnych liczb parzystych jest równa 56. Wyznacz te liczby. zad 5,8 Ile boków ma wielokąt, który ma 104 przekątne? zad 5,9 Obwód rombu jest równy 116 cm, a różnica długości jego przekątnych równa się 2 cm. Oblicz długości...
Przydatność 65% Oblicze Ojczyzny
(praca z 1 klasy gima) słowa w wierszu "*** (oblicze ojczyzny)" Tadeusza Różewicza "na początku ojczyzna jest blisko, na wyciągnięcie ręki" oznaczają, że gdy jesteśmy jeszcze mali ojczyzna to rodzice, koledzy i koleżanki, to nasz dom, nasze podwórko. ważniejsze jest wtedy dla nas to, że koleżance zaginął kot, a nie że wielu ludzi nie ma pracy i nie ma za co wyżywić...
Przydatność 55% wiersz Oblicze ojczyzny
Czytając wiersz Tadeusz Różewicza pt.Oblicze ojczyzny odnoszę wrażenie,iż poeta miał szczęśliwe dzieciństwo,chociaż lata w których przyszło mu dorastać nie należały do spokojnych.Wojna i okupacja nie zatarły jednak beztroskich i pełnych ciepłych barw wspomnień poety. Kiedy jest się dzieckiem,całym światem są najbliżsi: mama,tata i...
Przydatność 65% Drugie oblicze opalania
Praca w załączniku
Przydatność 85% Oblicz masę cząsteczkową kwasu siarkowodorowego.
Wzór kwasu siarkowodorowego jest taki: H2S więc trzeba pomnożyć dwa razy masę atomową wodory i dodać masę siarki 2*1u+ 32u = 2u + 32u = 34u Odp. Masa cząsteczkowa H2S wynosi 34u.
0 odpowiada - 0 ogląda - 1 rozwiązań
1 0
rybitwa11 31.1.2012 (18:40)
rozw w załączniku
Załączniki
Dodawanie komentarzy zablokowane - Zgłoś nadużycie