Treść zadania
Autor: ola1995 Dodano: 31.1.2012 (18:04)
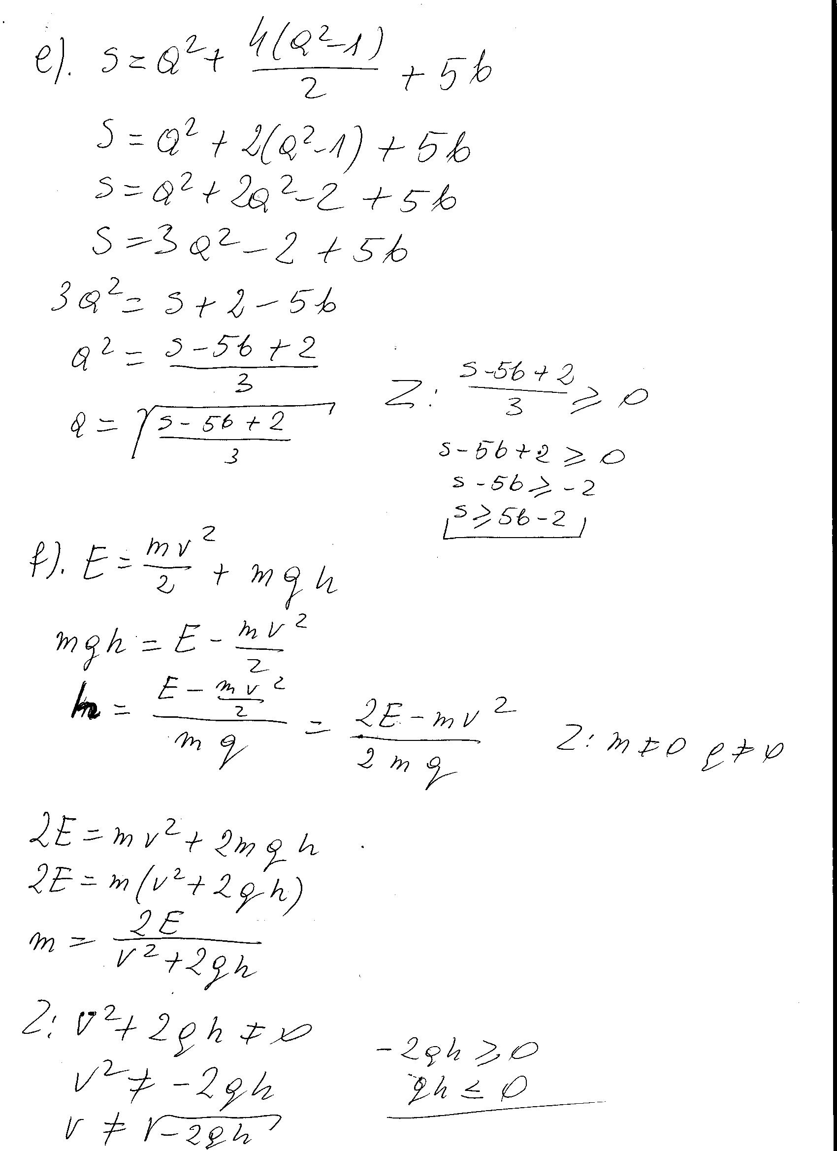
z podanego wzoru wyznacz wskazane wielkości (jeśli to konieczne, zapisz odpowiednie założenia)
ZAŁĄCZNIK
Zadanie jest zamknięte. Autor zadania wybrał już najlepsze rozwiązanie lub straciło ono ważność.
Najlepsze rozwiązanie
Rozwiązania
Podobne zadania
|
|
2 rozwiązania | autor: MartaGrzeszczak1 29.3.2010 (17:43) |
|
|
2 rozwiązania | autor: nikola29 15.4.2010 (19:01) |
|
|
1 rozwiązanie | autor: lukaszunkile 18.4.2010 (16:16) |
|
|
2 rozwiązania | autor: Aneciorek 20.4.2010 (20:46) |
|
|
2 rozwiązania | autor: dalia 20.4.2010 (22:11) |
Podobne materiały
Przydatność 65% "Czy wysyłanie dzieci na wycieczki przez rodziców jest konieczne"
Prawie każdy człowiek marzy o podróżach. Najwięcej czasu na zwiedzanie mamy, kiedy jeszcze nie pracujemy. Dlatego tez będę się starał bronić tezy, iż wysyłanie dzieci na wycieczki przez rodziców jest konieczne. Pierwszym argumentem przemawiającym za słusznością mojej tezy jest fakt, iż dzięki podróżom wzbogacamy swoja osobowość poznajemy nowe kultury i...
Przydatność 65% List, w którym wyznacze cele na nowy rok szkolny.
Przysietnica 02.09.2009 Angeliko! Pierwszego września rozpoczęłam nowy rok szkolny. Pamiętam, że jest to dzień szczególny, także z powodu siedemdziesiątej rocznicy wybuchu II Wojny Światowej. Wiem, że wtedy wiele dzieci ie mogło...
Przydatność 60% Idea wzoru do naśladowania - władcy na podstawie "Kroniki" Galla Anonima.
Na początek słów kilka o autorze naszej (polskiej) kroniki. A więc Gall Anonim jest postacią definitywnie tajemniczą. Współcześni wiedzą o nim tylko tyle iż przybył do polski z Galii i był prawdopodobnie mnichem o czym świadczy jego wykształcenie( potrafił pisać). Dlatego pseudonim tego pisarza brzmi właśnie Gall-bo pochodził z Galli i Anonim-bo nie miał imienia. W...
Przydatność 75% Kobieta fascynująca i irytująca. Przedstaw sylwetki wybranych bohaterek literackich, analizując wskazane utwory
„Kobieto! Puchu marny! Ty wietrzna istoto! Postaci twojej zazdroszczą anieli, A duszę gorszą masz, gorszą niżeli” Kobieta od zarania dziejów uważana za uosobienie piękna, wdzięku i wrażliwości, stała się wdzięcznym tematem dzieł literackich. Obok urody i zalet jej charakteru twórcy ukazywali też wady tego „lepszego” rodzaju ludzkiego. Czym mogły fascynować oraz...
Przydatność 80% Porównaj literackie portrety ofiar, interpretując wskazane fragmenty III cz. "Dziadów" A. Mickiewicza i "U nas w Auschwitzu..." T. Borowskiego.
„Dziady” Adama Mickiewicza powstały w XIX w., zaś „U nas w Auschwitzu...” Tadeusza Borowskiego w wieku XX. Mimo że utwory dzieli cała epoka, to można w nich odnaleźć fragmenty zbliżone pod względem omawianych tematów i problemów. Jednym z nich jest sprawa więźniów, wywożonych na Sybir i przetrzymywanych w obozach koncentracyjnych, pozbawianie ich godności i karanie za...
0 odpowiada - 0 ogląda - 1 rozwiązań
1 0
rybitwa11 31.1.2012 (18:59)
rozw w zał
Załączniki
Dodawanie komentarzy zablokowane - Zgłoś nadużycie