Zaliczaj.pl
Liceum » Matematyka
Dodaj do ulubionych Drukuj
Autor: norbert12 Dodano: 30.1.2012 (14:49)
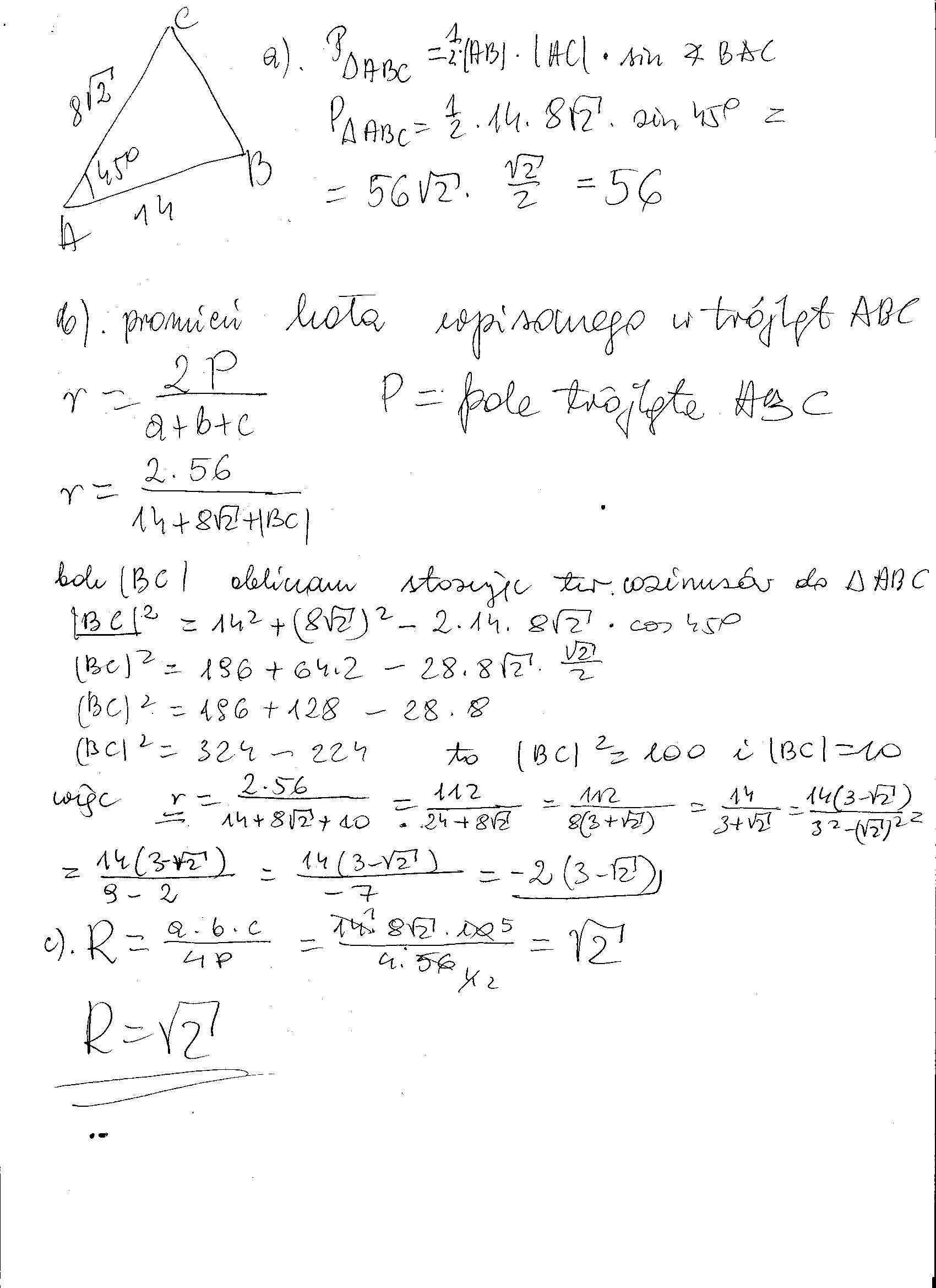
mam w załoczniku
Zgłoś nadużycie
Zadanie jest zamknięte. Autor zadania wybrał już najlepsze rozwiązanie lub straciło ono ważność.
1 0
rybitwa11 30.1.2012 (19:54)
rozwiązanie w załączniku
Dodawanie komentarzy zablokowane - Zgłoś nadużycie
0 odpowiada - 0 ogląda - 1 rozwiązań
Zobacz więcej opcji
1 0
rybitwa11 30.1.2012 (19:54)
rozwiązanie w załączniku
Załączniki
Dodawanie komentarzy zablokowane - Zgłoś nadużycie