Treść zadania
Autor: Konto usunięte Dodano: 28.1.2012 (16:07)
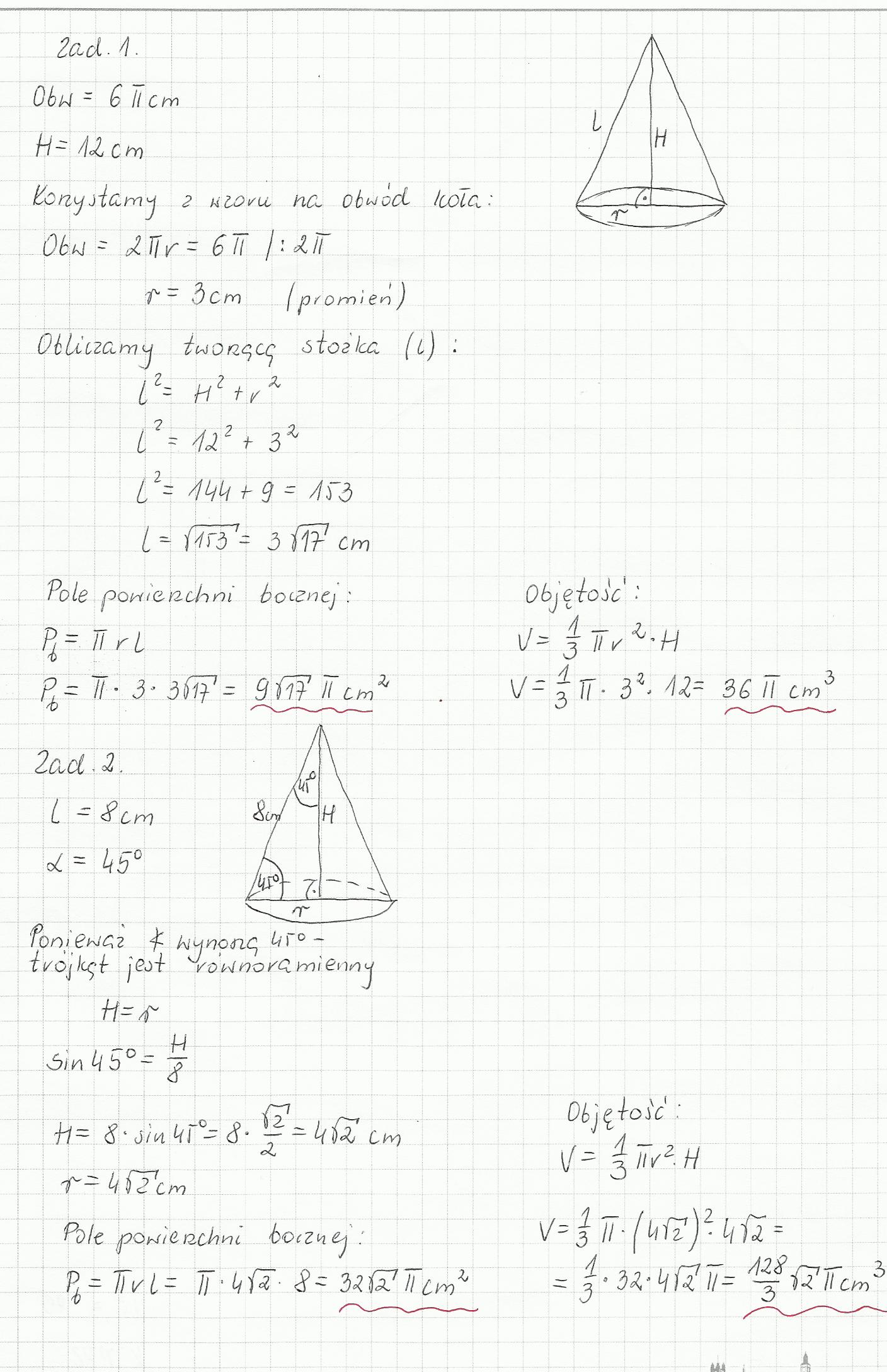
Rożek wafelkowy do lodów ma kształt stożka o obowodzie podstawy 6 π cm, a jego wysokość H jest równa 12 cm.Oblicz pole powierzchni bocznej i objętosć tego rożka.
Tworząca stożka jest równa 8 cm i jest nachylona do płaszczyzny podstawy pod kątem 45 stopni . Zrób rysunek pomocniczy oraz oblicz pole powierzchni bocznej o objetość tego stozka.
Zadanie jest zamknięte. Autor zadania wybrał już najlepsze rozwiązanie lub straciło ono ważność.
Najlepsze rozwiązanie
Rozwiązania
Podobne zadania
|
|
1 rozwiązanie | autor: ilka132 11.4.2010 (10:07) |
|
|
1 rozwiązanie | autor: Wercia264 25.4.2010 (13:00) |
|
|
3 rozwiązania | autor: kwiat2010 28.4.2010 (17:27) |
|
|
3 rozwiązania | autor: kocisko 6.5.2010 (17:18) |
|
|
1 rozwiązanie | autor: kocisko 10.5.2010 (18:03) |
Podobne materiały
Przydatność 80% podstawy....
LOGIN NAME – NAZWA KONTA KOMPUTER - (ANG. COMPUTER) urządzenie służące do obliczeń matematycznych. Obecnie służą do (m.in.): · redagowania tekstu, · gromadzenia i wyszukiwania informacji, · przetwarzania informacji. Komputer osobisty (PC) składa się z: 1. komputer właściwy (jedn. Centalna), są to układy elektroniczne w jednej obudowie z napędamidysków i...
Przydatność 100% Podstawy
Cała treść zawarta jest w załączniku.
Przydatność 100% Podstawy
Kraje niemiecko języczne (Die deutschprachigen Lnder) Doutschland, sterreich, Die Schweiz, Liechtenstein. Wie heit du? Ich heie.... Wie ist Ihr Name? Meine name ist... Wo wohnst du? Ich wohnst in... Woher kommst du? Ich komme ous Polen. Die Personen (Osoby) Ich - ja Du - ty er - on sie - ona es - ono wir - my ihr - wy sie - oni/one Sie - Pan/Pani Die Wochentage (dni...
Przydatność 65% Podstawy wychowania – podstawy pedagogiki
PODSTAWY WYCHOWANIA – PODSTAWY PEDAGOGIKI I. Czy człowiek potrzebuje wychowania? Dlaczego wychowywać? ANTROPOLOGICZNE podstawy wychowania. Antropologia. II. Co to jest wychowanie? Czym jest wychowanie? Pytanie ONTOLOGICZNE, pytanie o Byt. Ontologiczne podstawy wychowania. Ontologia. III. Ku czemu wychowywać? Do czego prowadzi wychowanie? Pytanie o wartości. AKSJOLOGICZNE podstawy...
Przydatność 65% Podstawy ekologii
1.Ekologia – dziedzina biologii badająca relację między organizmami oraz zależności między organizmami a środowiskiem .Nazwa została wprowadzona przez niemieckiego biologa Ernesta Heackela , wywodzi się z gr. oikos (dom, otoczenie) i logos ( nauka).Ekologia dzieli się na a. autoekologię – dział ekologii zajmujący się zależnościami między organizmami danego gatunku do...
0 odpowiada - 0 ogląda - 1 rozwiązań
3 0
ewka13 3.2.2012 (20:57)
Rozwiązanie w załączniku...
Załączniki
Dodawanie komentarzy zablokowane - Zgłoś nadużycie