Treść zadania
Autor: ~laura kluczek Dodano: 21.1.2012 (18:54)
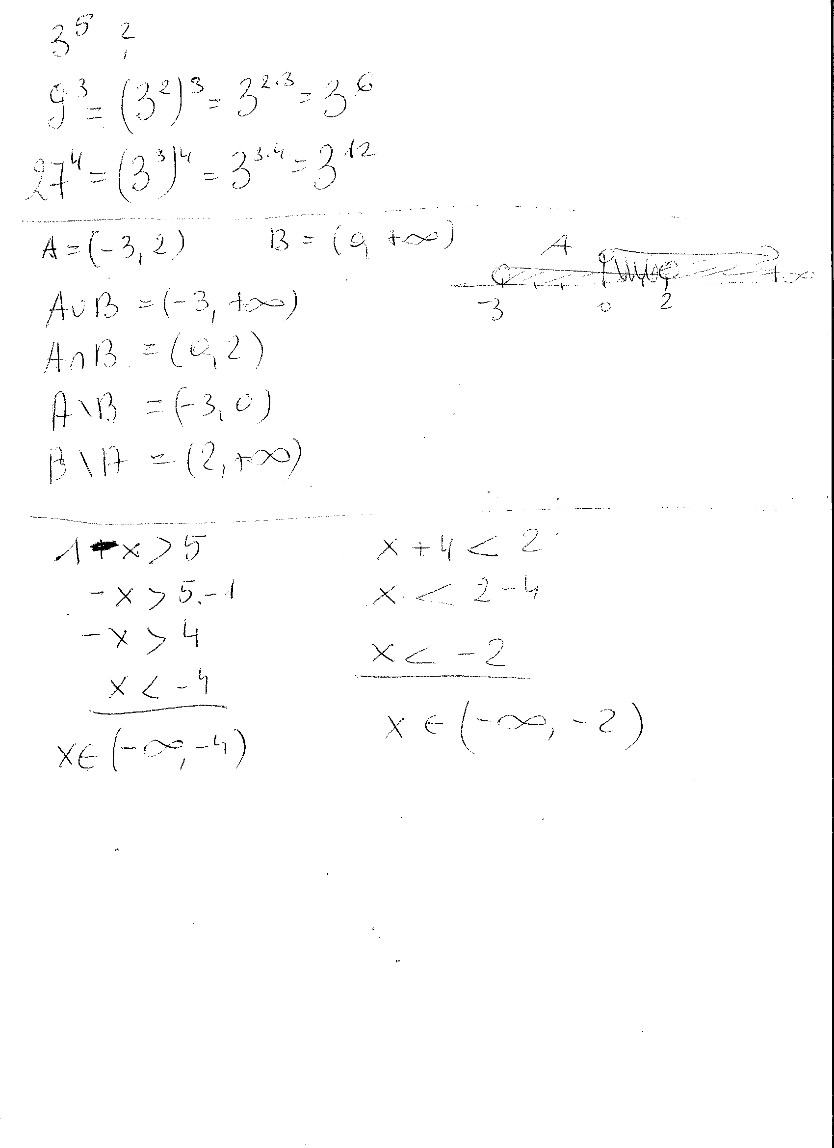
3do potegi5 , 9 do potegi 3, 27 do pątegi 4 zapisz w postaci potęgi liczby 3.nastepne zadanie dane sa przedziały liczbowe A(-3,2),I B{O,+&} AUB, AnB, A/B, B/A . Rozwiasz nierównosci (1-x)>5, i (x+4)<2
Zadanie jest zamknięte. Autor zadania wybrał już najlepsze rozwiązanie lub straciło ono ważność.
Najlepsze rozwiązanie
Rozwiązania
Podobne zadania
|
|
1 rozwiązanie | autor: xnika502x 6.4.2010 (16:07) |
|
|
2 rozwiązania | autor: xnika502x 6.4.2010 (16:07) |
|
|
2 rozwiązania | autor: nikola29 15.4.2010 (19:01) |
|
|
1 rozwiązanie | autor: Monika697 18.4.2010 (12:09) |
|
|
2 rozwiązania | autor: Aneciorek 20.4.2010 (20:46) |
Podobne materiały
Przydatność 50% Liczby
1. Liczby rzeczywiste – wszystkie liczby , które odpowiadają punktom na osi liczbowej. 2. Liczby wymierne – liczby dające przedstawić się za pomocą ułamka p/q , gdzie p jest dowolną liczbą całkowitą, a q jest dowolną liczbą naturalną ( np. 1/7, 3 ½,- 32/5 , 0, -2,6 , 5 (3), 3. Liczby niewymierne – liczby nie dające się zapisać w postaci ułamka zwykłego ( np. 3, 5,...
Przydatność 50% Liczby
Liczby pierwsze Liczbę naturalną, która ma dokładnie dwa dzielniki, nazywamy liczbą pierwsza. Liczb pierwszych jest nieskończenie wiele. Znajdowanie ich nie jest jednak łatwe. Od pewnego czasu używa się do tego komputerów. Największa znana dziś liczba pierwsza została odkryta w lipcu 2001 roku przez Michaela Camerona i George'a Woltmana ma postać 213466917-1. Ma ona aż 4...
Przydatność 70% Liczby zaprzyjaźnione
Są to dwie takie liczby naturalne M i N, z których każda jest sumą podzielników właściwych drugiej(przez podzielnik właściwy danej liczby rozumiemy każdy podzielnik mniejszy od tej liczby). Pierwszą parę takich liczb, którą podał jeszcze Pitagoras, stanowią liczby 220 i 284, ponieważ dzielnikami właściwymi liczby 220 są: 1,2,4,5,10,11,20,22,44,55 i 110, a ich suma wynosi...
Przydatność 65% Liczby kwantowe
1) Główna liczba kwantowa (n) - przyjmuje wartości kolejnych liczb naturalnych 1, 2, 3, ... (wg Bhora K, L, M, ...); - od niej zależy energia danego elektronu; - decyduje o rozmiarach orbitali - im większa wartość n, tym większy jest orbital; - maksymalna ilośc elektronów w powłoce wynosi 2m2 (kwadrat) n 1 = K 2 = L 3 = M 4 = N 5 = O 6 = P 7 = Q 2) Poboczna liczba...
Przydatność 65% Liczby doskonałe
Liczby doskonałe to takie liczby których suma dzielników tworzy tę właśnie liczbę. Do tej pory znaleziono 36 liczb doskonałych podam 4 najmniejsze: 6={1+2+3} 28={1+2+4+7+14} 496={1+2=4+8+16+31+62+124+248} 8128+{1+2+4+8+16+32+64+127+254+508+1016+2032+4064}
0 odpowiada - 0 ogląda - 1 rozwiązań
1 0
rybitwa11 21.1.2012 (22:38)
rozw w załączniku
Załączniki
Dodawanie komentarzy zablokowane - Zgłoś nadużycie