Treść zadania

Sailor_Moon

test 2 cz 2

Załączniki do zadania

Zadanie jest zamknięte. Autor zadania wybrał już najlepsze rozwiązanie lub straciło ono ważność.

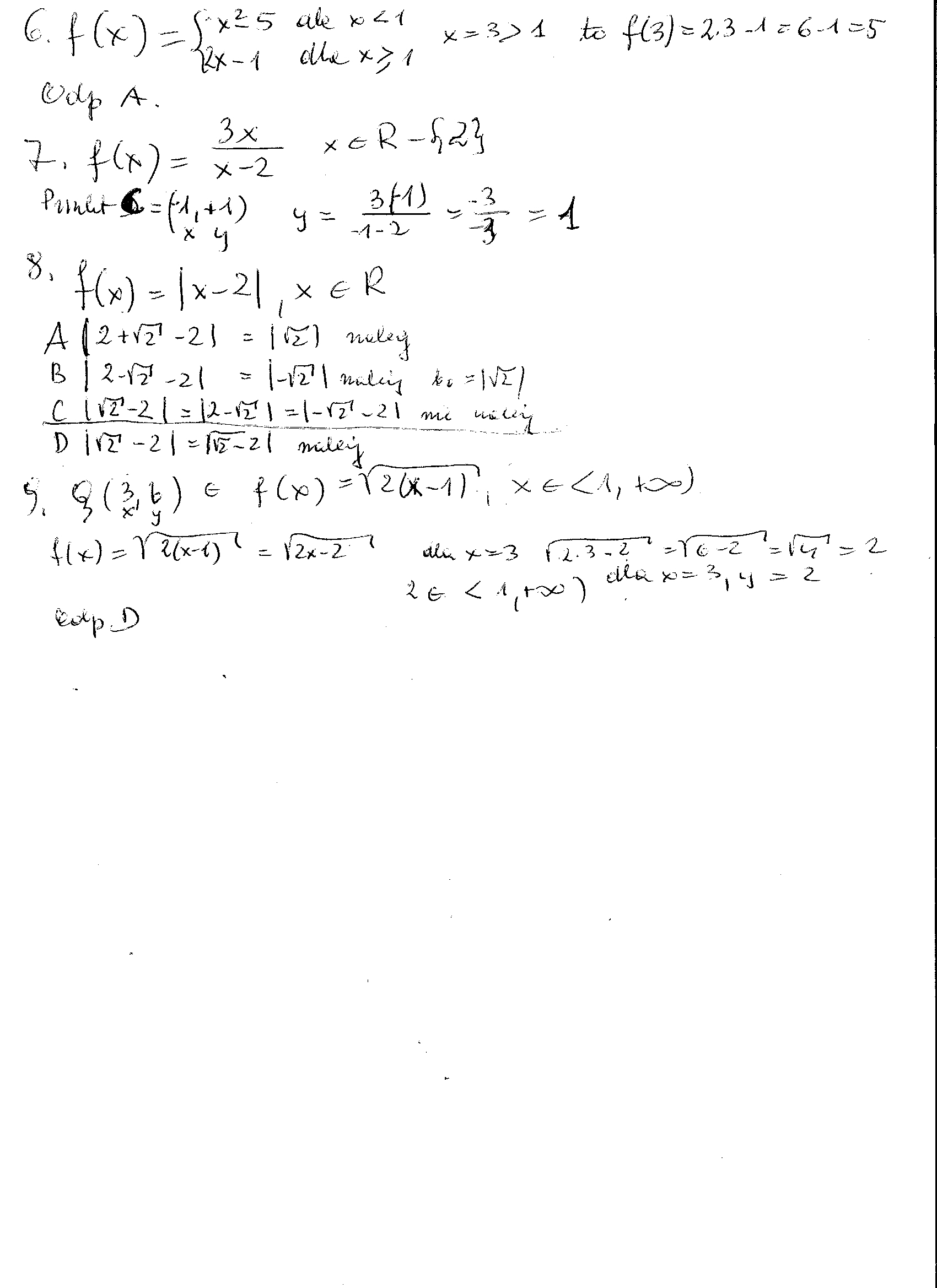
Najlepsze rozwiązanie

Rozwiązania

Podobne zadania

moniczka1555 Test z geometri:P Przedmiot: Matematyka / Liceum 1 rozwiązanie autor: moniczka1555 13.6.2010 (13:40)
bboymati Witam. Mam test jutro mam poprawe i muszę to wmiare napisać. W załączniku Przedmiot: Matematyka / Liceum 1 rozwiązanie autor: bboymati 17.10.2010 (13:51)
kochanamisia162 TEST IV- Funkcja kwadratowa Przedmiot: Matematyka / Liceum 2 rozwiązania autor: kochanamisia162 3.1.2011 (19:54)
kochanamisia162 TEST IV- Funkcja kwadratowa matematyka 1 dla jakich wartości a punkt Przedmiot: Matematyka / Liceum 2 rozwiązania autor: kochanamisia162 3.1.2011 (19:59)
kochanamisia162 TEST IV Funkcja kwadratowa: 1.Jaka jest postać iloczynowa trójmianu Przedmiot: Matematyka / Liceum 1 rozwiązanie autor: kochanamisia162 3.1.2011 (21:23)

Podobne materiały

Przydatność 50% Animal testing

History of medical researches begins hundreds years ago when people often called wizards were preparing mixtures to heal people. In that times nobody was criticising ways of developing drugs. Nowadays, there are millions of cosmetics, chemistry and medicine products around us. What is more, methods of testing them developed. We can check them by chemistry but to some products animals are the...

Przydatność 70% Ewolucjonizm - test

EWOLUCJONIZM. 1.Definicja: Jest to grupa organizmów o podobnej budowie które mogą się ze sobą krzyżować wydając płodne potomstwo określa gatunek: a) morfologiczny b) biologiczny c) ekologiczny d) wyżej nie wymieniony 2.Podstawową naturalną jednostką życia na Ziemi jest: a) królestwo b) typ c) rodzaj d) gatunek 3.Bezpośrednich danych pozwalających wnioskować...

Przydatność 80% Strunowce - test

1.Struna grzbietowa spełnia funkcję szkieletową dzięki:
a) turgorowi komórek je budujących
b)napięciu mięśni ją otaczających
c)wysokiemu ciśnieniu płynu który ją wypełnia
d)przesyceniu jej solami wapnia

2.Metameria jest widoczna w budowie ciała lancetnika poza układem:
a)rozrodczym
b)nerwowym
c)mięsniowym
d)wydalniczym
...

Przydatność 55% Rany - test

Test kl. I – rany Zad.1 Rany cięte powstają na skutek działania: a) szorstkiej powierzchni b) przedmiotów ostrych c) narzędzi tępych Zad.2 W jaki sposób goi się rana kłuta? a) przez ziarninowanie b) pod strupem c) przez rychłozrost Zad.3 W jakiej pozycji należy ułożyć poszkodowanego z raną głowy i twarzy? a) lekko unieść głowę i umieścić wałek...

Przydatność 100% Animal testing.

Each year about five million dogs, cats, rabbits, rats, monkeys, and other animals die in lethal tests performed in the U.S. During such experiments strange substance are forced into the animals throats, or are pumped into their stomachs by a tube. Experimental medicines are injected under the skin, into a vein, abdomen, applied to the eyes of an animal or forciblly inhaled through a gas...

0 odpowiada - 0 ogląda - 1 rozwiązań

Dodaj zadanie

Zobacz więcej opcji