Treść zadania
Autor: zygi Dodano: 15.1.2012 (18:13)
Dane są cztery liczby. Trzy pierwsze z nich tworzą ciąg geometryczny, zaś trzy ostatnie ciąg arytmetyczny. Suma liczb skrajnych jest równa 14, suma liczb środkowych 12. Znajdz te liczby.
Zadanie jest zamknięte. Autor zadania wybrał już najlepsze rozwiązanie lub straciło ono ważność.
Najlepsze rozwiązanie
Rozwiązania
Podobne zadania
|
|
1 rozwiązanie | autor: mariusz92 28.3.2010 (19:49) |
|
|
1 rozwiązanie | autor: xnika502x 6.4.2010 (16:07) |
|
|
2 rozwiązania | autor: xnika502x 6.4.2010 (16:07) |
|
|
1 rozwiązanie | autor: angelika1990 8.4.2010 (18:05) |
|
|
2 rozwiązania | autor: aluszacedro 12.4.2010 (15:22) |
Podobne materiały
Przydatność 50% Liczby pierwsze - podstawowe wiadomosci
To liczby naturalne, podzielne tylko przez 1 i samą siebie. Liczby 0 i 1 nie są zaliczane do liczb pierwszych, ani do złożonych. Liczb pierwszych jest nieskończenie wiele. Twierdzenie to udowodnił w IV w. p.n.e. matematyk grecki Euklides. Łatwo szukać kolejnych liczb pierwszych nie większych od danej liczby naturalnej n. Wypisuje się kolejno liczby naturalne od 2 do n. Liczba 2,...
Przydatność 60% Liczby Pierwsze - program do wyszukiwania liczb pierwszych
Dokumentacja do programu Liczby Pierwsze v1.1 ***************************************** Program służy do wyszukiwania wszystkich liczb pierwszych w danym przedziale naturalnym (liczby całkowite od zera do nieskończoności). Obsługa programu jest banalna. Najpierw do obydwu pól wpisz dwie liczby naturalne (pierwsza mniejsza od drugiej) i naciśnij Sprawdź! Aby skopiować do...
Przydatność 50% Liczby
1. Liczby rzeczywiste – wszystkie liczby , które odpowiadają punktom na osi liczbowej. 2. Liczby wymierne – liczby dające przedstawić się za pomocą ułamka p/q , gdzie p jest dowolną liczbą całkowitą, a q jest dowolną liczbą naturalną ( np. 1/7, 3 ½,- 32/5 , 0, -2,6 , 5 (3), 3. Liczby niewymierne – liczby nie dające się zapisać w postaci ułamka zwykłego ( np. 3, 5,...
Przydatność 50% Liczby
Liczby pierwsze Liczbę naturalną, która ma dokładnie dwa dzielniki, nazywamy liczbą pierwsza. Liczb pierwszych jest nieskończenie wiele. Znajdowanie ich nie jest jednak łatwe. Od pewnego czasu używa się do tego komputerów. Największa znana dziś liczba pierwsza została odkryta w lipcu 2001 roku przez Michaela Camerona i George'a Woltmana ma postać 213466917-1. Ma ona aż 4...
Przydatność 65% Przedstaw stosunki między USA i Polską po 1989 roku. Wskaż cztery wydarzenia, które miały wpływ na kształtowanie się tych stosunków. Podaj po trzy skutki współpracy polsko-amerykańskiej dla sytuacji wewnętrznej Polski i dla pozycji naszego pa
Stosunki polsko-amerykańskie po roku 1989 były bardzo dobre. Stany Zjednoczony od samego początku aktywnie wspierały proces zmian demokratycznych w Polsce. Symbolicznym wydarzeniem politycznym, które było wyrazem poparcia dla Polski była wizyta prezydenta USA George?a Busha, który spotkał się zarówno z władzą komunistyczną, jak i z przywódcami zwycięskiej partii w wyborach...
0 odpowiada - 0 ogląda - 2 rozwiązań
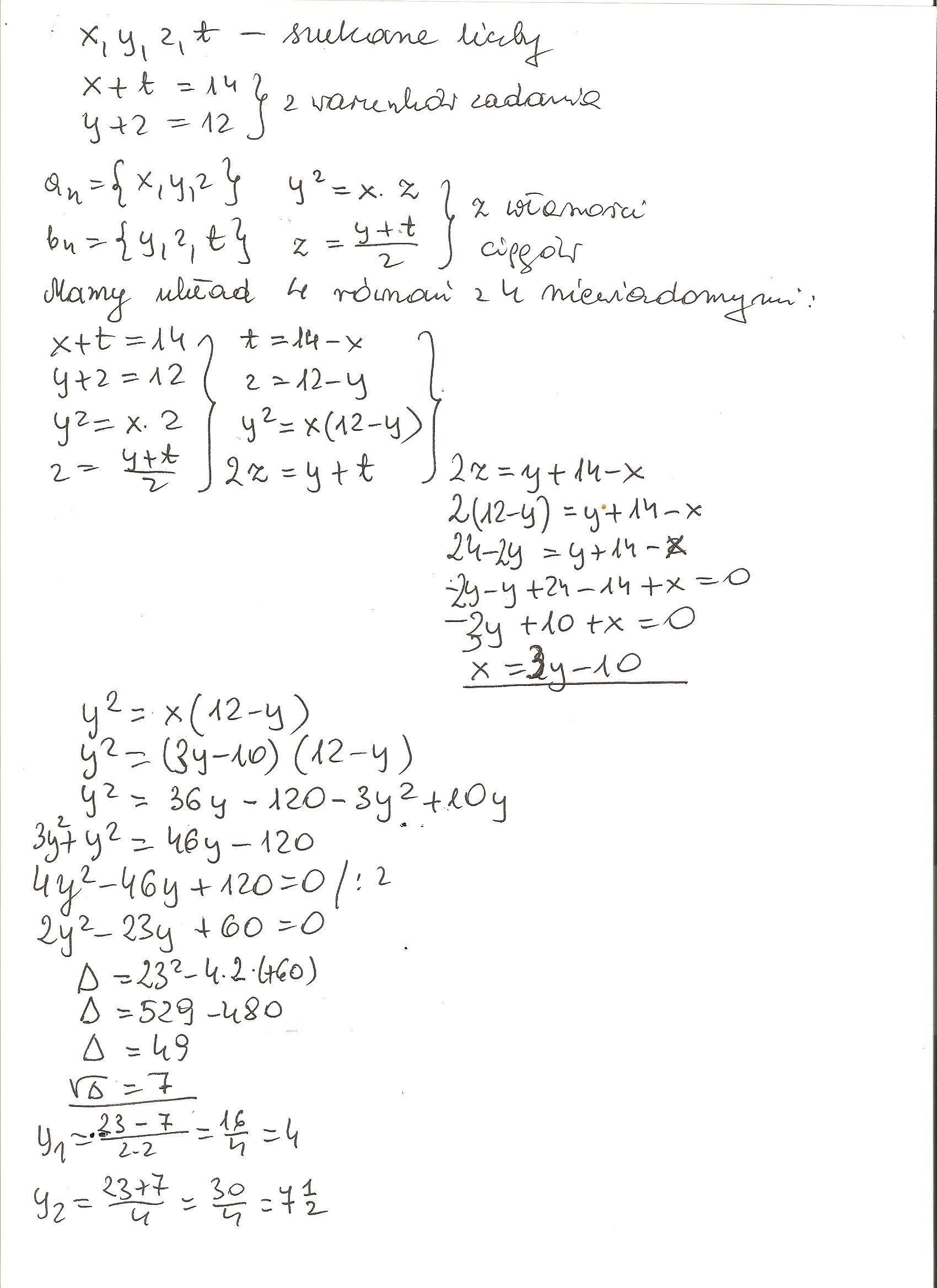
1 0
gosia1977 15.1.2012 (20:29)
a,b,c,d
b²=a*c
c=(b+d)/2
a+d=14
b+c=12
b²=a*c
2c=b+d
d=14-a
c=12-b
b²=a(12-b)
2(12-b)=b+14-a
d=14-a
c=12-b
b²=a(12-b)
24-2b=b+14-a
d=14-a
c=12-b
b²=a(12-b)
a=3b-10
d=14-a
c=12-b
b²=(3b-10)(12-b)
a=3b-10
d=14-a
c=12-b
rozwiazuje rownanie
b²=(3b-10)(12-b)
b²=36b-3b²-120+10b
4b²-46b+120=0 /:2
2b²-23b+60=0
delta=529-480=49
b1=(23-7)/4=4
b2=(23+7)/4=7.5
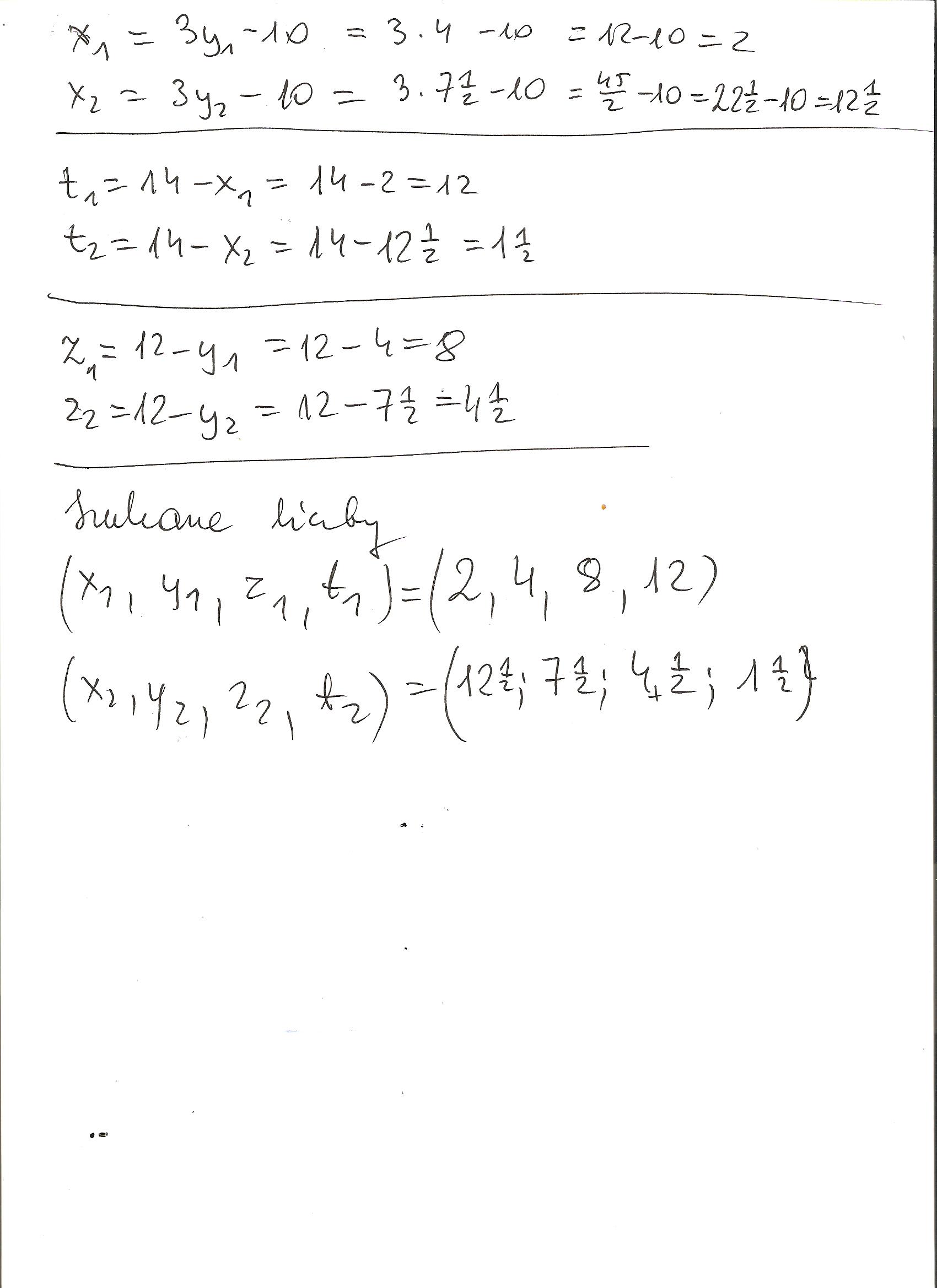
dla b=4 mamy
a=3b-10=12-10=2
d=14-a=14-2=12
c=12-b=12-4=8
dla b=7.5
a=3b-10=12.5
d=14-a=1.5
c=12-b=4.5
Dodawanie komentarzy zablokowane - Zgłoś nadużycie