Komentarze do zadania
-
ewka13 13.1.2012 (22:30)
Obliczenie drugiej niewiadomej y - nie jest potrzebne do rozwiazania zadania...
Zadanie jest zamknięte. Autor zadania wybrał już najlepsze rozwiązanie lub straciło ono ważność.
Najlepsze rozwiązanie
Rozwiązania
0 odpowiada - 0 ogląda - 1 rozwiązań
2 0
ewka13 13.1.2012 (22:31)
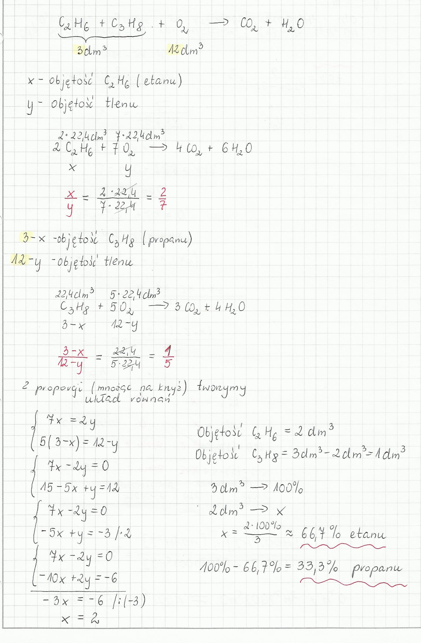
Rozwiazanie w załaczniku....
Załączniki
Dodawanie komentarzy zablokowane - Zgłoś nadużycie