Treść zadania
Autor: kamilos996 Dodano: 2.1.2012 (15:42)
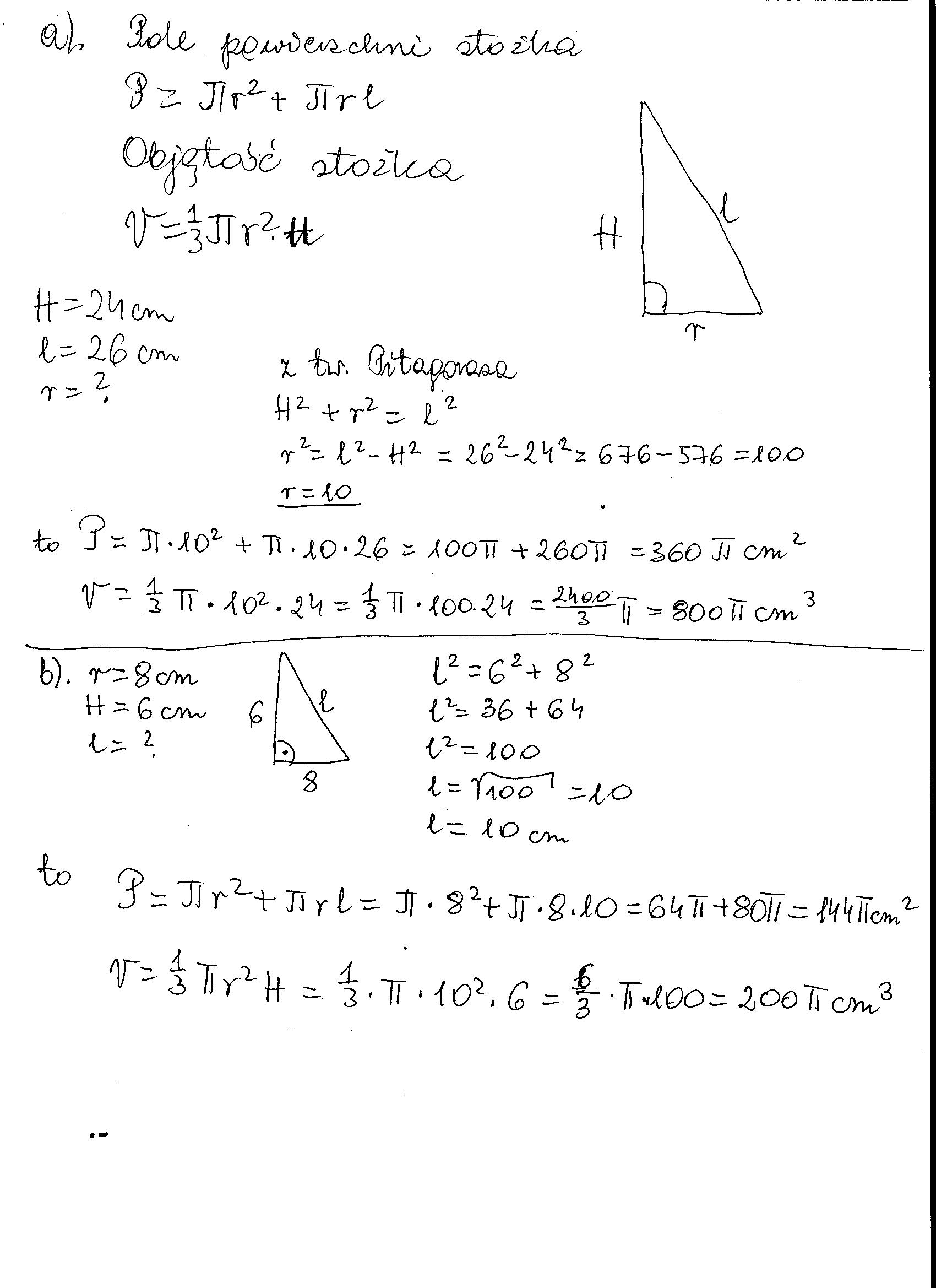
oblicz pole powierzchni całkowitej i objętość stożków o podanych wymiarach: a)---H=24cm. l=26cm. b)-- r=8cm H=6cm.
Zadanie jest zamknięte. Autor zadania wybrał już najlepsze rozwiązanie lub straciło ono ważność.
Najlepsze rozwiązanie
Rozwiązania
Podobne zadania
|
|
2 rozwiązania | autor: anett 28.3.2010 (18:59) |
|
|
1 rozwiązanie | autor: martamika007 29.3.2010 (18:59) |
|
|
1 rozwiązanie | autor: martamika007 29.3.2010 (19:00) |
|
|
1 rozwiązanie | autor: milutka2 29.3.2010 (19:10) |
|
|
2 rozwiązania | autor: violetisavictim 30.3.2010 (16:30) |
Podobne materiały
Przydatność 65% Oblicze Ojczyzny
(praca z 1 klasy gima) słowa w wierszu "*** (oblicze ojczyzny)" Tadeusza Różewicza "na początku ojczyzna jest blisko, na wyciągnięcie ręki" oznaczają, że gdy jesteśmy jeszcze mali ojczyzna to rodzice, koledzy i koleżanki, to nasz dom, nasze podwórko. ważniejsze jest wtedy dla nas to, że koleżance zaginął kot, a nie że wielu ludzi nie ma pracy i nie ma za co wyżywić...
Przydatność 75% Inżynierai powierzchni
POWIERZCHNIA CIAŁA STAŁEGO np. narzędzi, maszyny, elementu konstrukcyjnego jest obiektem oddziaływania (świadomego) w celu nadania odpowiednich własności fiz. i chem./ Obrazem rzeczywistej budowy ciała stałego jest zbiór nieciągłości w skali makro lub mikro, składający się ze szczelin, porowatości, nieregularnej struktury, obecności ciał stałych. Powierzchnia ciała...
Przydatność 55% wiersz Oblicze ojczyzny
Czytając wiersz Tadeusz Różewicza pt.Oblicze ojczyzny odnoszę wrażenie,iż poeta miał szczęśliwe dzieciństwo,chociaż lata w których przyszło mu dorastać nie należały do spokojnych.Wojna i okupacja nie zatarły jednak beztroskich i pełnych ciepłych barw wspomnień poety. Kiedy jest się dzieckiem,całym światem są najbliżsi: mama,tata i...
Przydatność 65% Drugie oblicze opalania
Praca w załączniku
Przydatność 55% Pole elektrostatyczne
Polem elektrostatycznym nazywamy własność przestrzeni polegająca na tym że na umieszczone w tej przestrzeni ciała naelektryzowane działa siła elektryczna. Natężeniem pola elektrostatycznego w danym punkcie nazywamy stosunkiem siły działającej na umieszczony w tym punkcie próbny ładunek dodatni q+ do tego ładunku. Super pozycją pul nazywamy sumę natężeń w danym punkcie pola...
0 odpowiada - 0 ogląda - 1 rozwiązań
1 0
rybitwa11 2.1.2012 (19:18)
rozw w zał
Załączniki
Dodawanie komentarzy zablokowane - Zgłoś nadużycie