Treść zadania
Autor: ~kiwi0710 Dodano: 1.1.2012 (16:00)
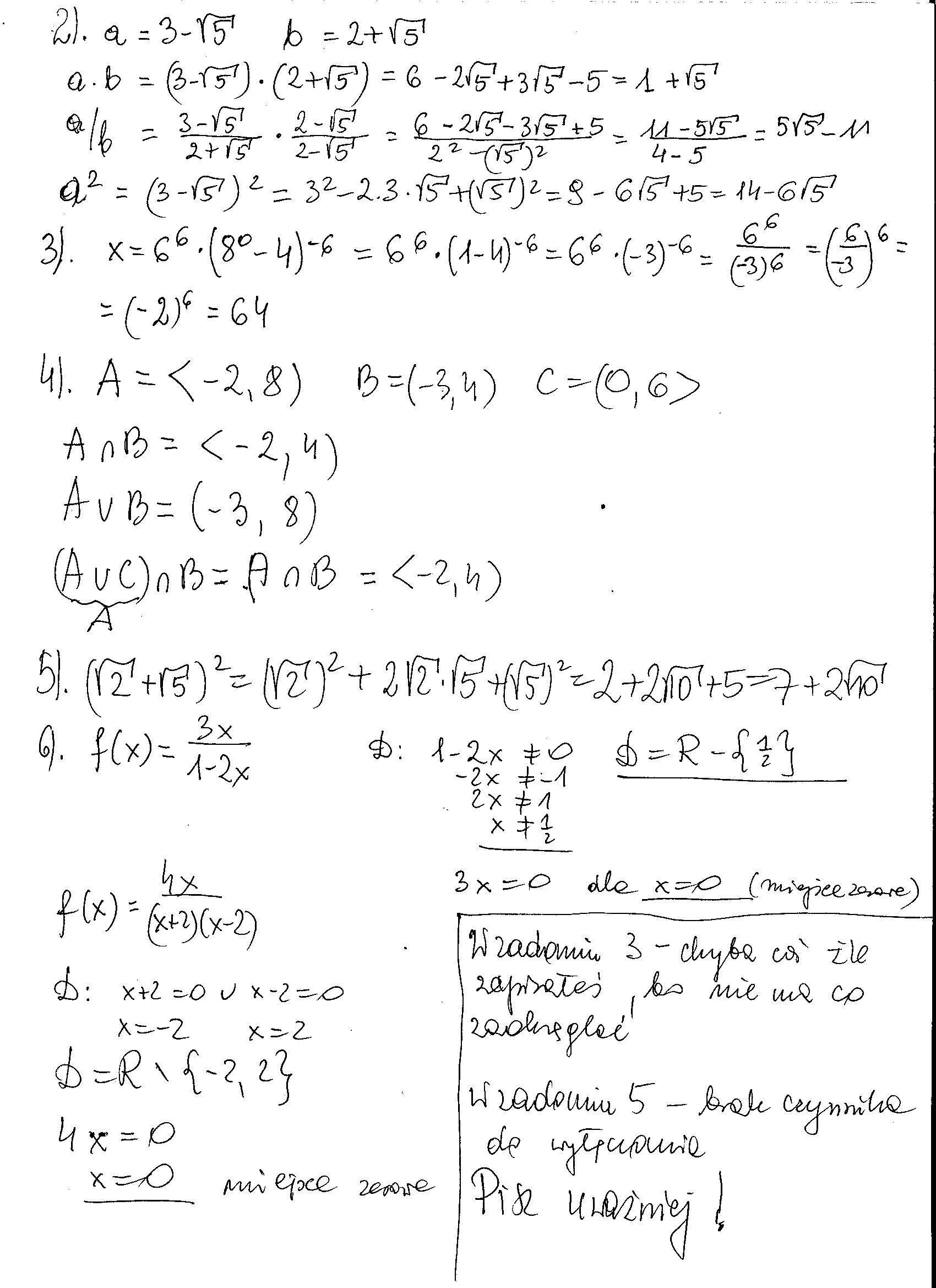
2. Dane są liczby a=3-√5, b=2+√5
określ: a)iloczyn a i b
b)iloraz a przez b
c)kwadrat liczby a
3.Zapisz w postaci dziesiętnej liczbę zaokrąglij do części setnych
x=6do potęgi 6*(8do zerowej-4)do potęgi -6
4.Dane są zbiory A=<-2,8) B=(-3,4) C=0,6>
Wyznacz A^B,AB(AUC)^B
5.wyłacz czynnik przed pierwiastek i wykonaj działanie
(√2+√5)do potęgi 2=
6.Wyznacz dziedzinę i miejsca zerowe
a) f(x)= ulamek i u góry 3x a na dole 1-2x
b)f(x)=u gory 4x na dole (x+2)(x-2)
Zadanie jest zamknięte. Autor zadania wybrał już najlepsze rozwiązanie lub straciło ono ważność.
Najlepsze rozwiązanie
Rozwiązania
Podobne zadania
|
|
1 rozwiązanie | autor: xnika502x 6.4.2010 (16:07) |
|
|
2 rozwiązania | autor: xnika502x 6.4.2010 (16:07) |
|
|
1 rozwiązanie | autor: angelika1990 8.4.2010 (18:05) |
|
|
2 rozwiązania | autor: aluszacedro 12.4.2010 (15:22) |
|
|
2 rozwiązania | autor: nikola29 15.4.2010 (19:01) |
Podobne materiały
Przydatność 50% Liczby
1. Liczby rzeczywiste – wszystkie liczby , które odpowiadają punktom na osi liczbowej. 2. Liczby wymierne – liczby dające przedstawić się za pomocą ułamka p/q , gdzie p jest dowolną liczbą całkowitą, a q jest dowolną liczbą naturalną ( np. 1/7, 3 ½,- 32/5 , 0, -2,6 , 5 (3), 3. Liczby niewymierne – liczby nie dające się zapisać w postaci ułamka zwykłego ( np. 3, 5,...
Przydatność 50% Liczby
Liczby pierwsze Liczbę naturalną, która ma dokładnie dwa dzielniki, nazywamy liczbą pierwsza. Liczb pierwszych jest nieskończenie wiele. Znajdowanie ich nie jest jednak łatwe. Od pewnego czasu używa się do tego komputerów. Największa znana dziś liczba pierwsza została odkryta w lipcu 2001 roku przez Michaela Camerona i George'a Woltmana ma postać 213466917-1. Ma ona aż 4...
Przydatność 60% Polska - ogółne dane
Polozenie polski na kuli ziemskiej. Polska ma szer pół. a dł wschodnia. Konsekwencje rozciaglosci poludnikowej jest roznica trwania dnia miedzy pół. a poł. Czerwca w Polsce dzien trwa 17h20min w gdyni i jest dluzszy o 1h20min Zakopanem. Konsekwencja rozciaglosci rownoleznikowej jest roznica we wschodzie slonaca, slonce wschodzi wczesniej o 40 min na wsch Polski. Czas letni wedlug...
Przydatność 60% Chorwacja - główne dane
CHORWACJA. PRZEMYSŁ. Główną rolę w gospodarce Chorwacji odgrywa przemysł przetwórczy o zróżnicowanej strukturze gałęziowej; do najważniejszych gałęzi należą: hutnictwo żelaza (Sisak) i aluminium (Lozovac, Razine), przemysł stoczn. (Rijeka, Split, Pula) oraz petrochem. (Sisak, Osijek, Split); duże znaczenie ma przemysł maszyn. (m.in. fabryki: obrabiarek — Zagrzeb, maszyn...
Przydatność 75% Księżyc - ogólne dane
1.Księżyc : To naturalny satelita Ziemi. Otacza ją po swojej orbicie oddalonej od planety o 384400km. Jest piątym co do wielkości Księżycem w Układzie Słonecznym. Średnica Księżyca wynosi trochę więcej niż 1/4 średnicy Ziemi. Przyspieszenie grawitacyjne na jego powierzchni jest blisko 6 razy słabsze, niż na Ziemi (1,6 n/kg). Cały czas widzimy tylko jedną stronę...
0 odpowiada - 0 ogląda - 1 rozwiązań
1 0
rybitwa11 3.1.2012 (14:29)
rozw w załączniku
Załączniki
Dodawanie komentarzy zablokowane - Zgłoś nadużycie