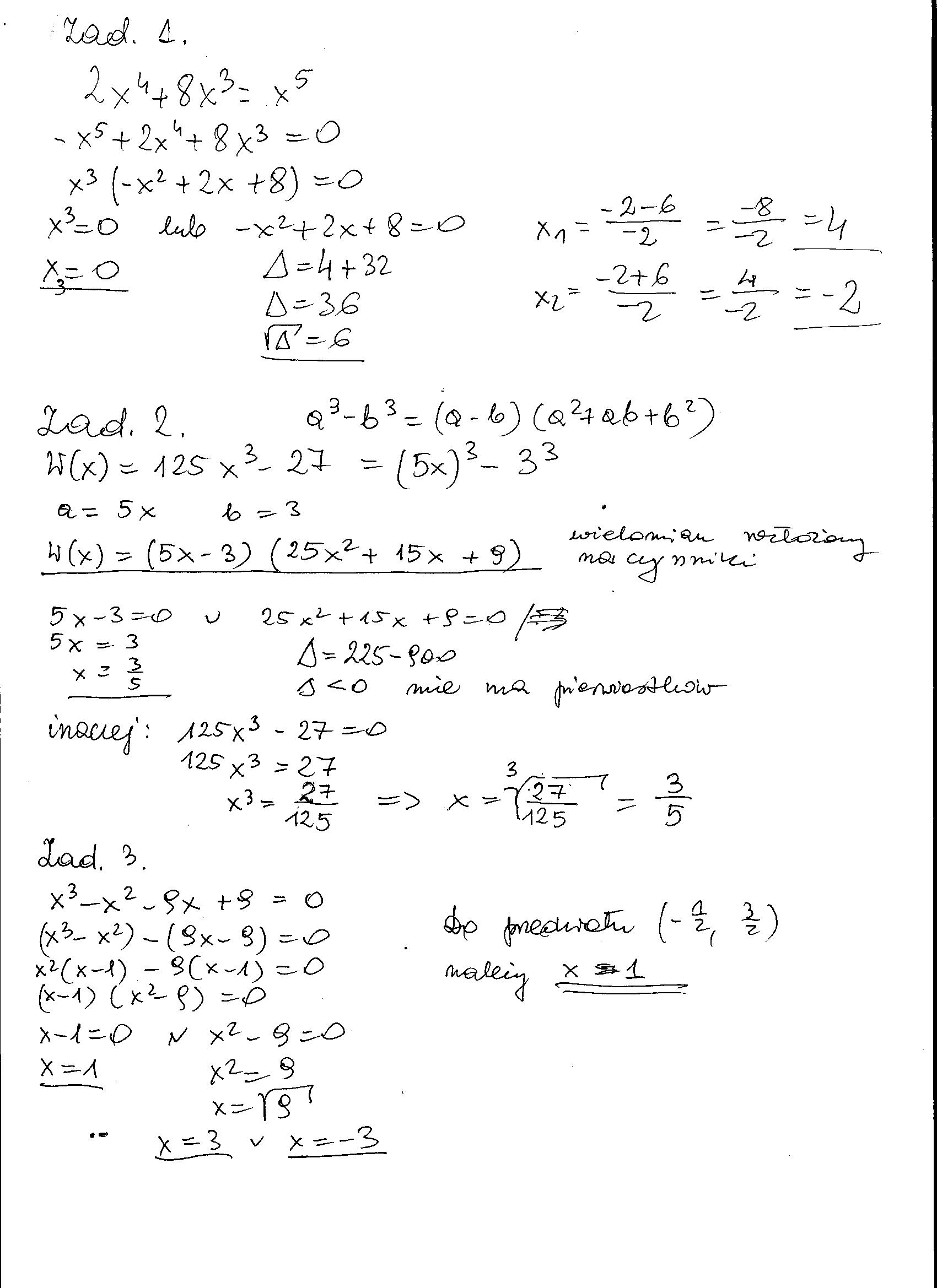
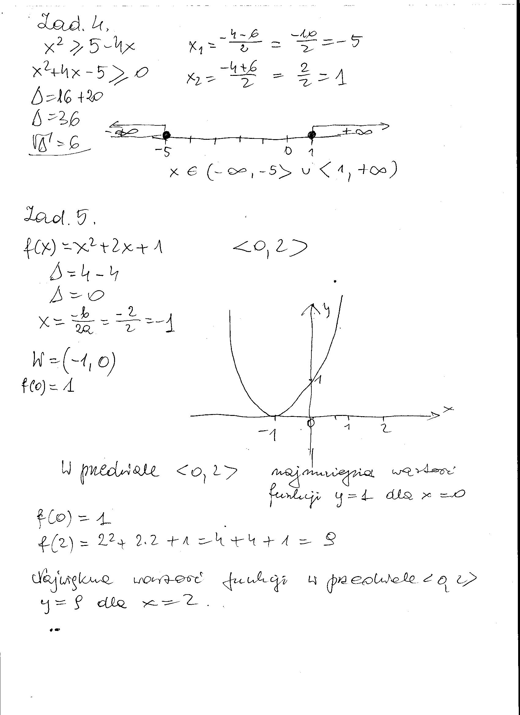
Treść zadania

koss5242

Witam

Proszę o rozwiązanie zadań, termin do 15 stycznia 2012r.

Z góry dziękuje

Pozdrawiam

Załączniki do zadania

Zadanie jest zamknięte. Autor zadania wybrał już najlepsze rozwiązanie lub straciło ono ważność.

Najlepsze rozwiązanie

Rozwiązania

Podobne zadania

czop12 proporcja prosta i odwrotna zada.1 mateusz codziennie przepływa 15 długosci Przedmiot: Matematyka / Liceum 1 rozwiązanie autor: czop12 22.11.2010 (19:11)
bradzia Witam,gorąco proszę o pomoc w zada.z matematyki -------------> Wielokąt Przedmiot: Matematyka / Liceum 1 rozwiązanie autor: bradzia 13.3.2012 (16:49)
bradzia Proszę o pomoc w zada.z matematyki : W firmie Komin pracuje łącznie z szefem Przedmiot: Matematyka / Liceum 1 rozwiązanie autor: bradzia 13.3.2012 (16:51)
polska90 oblicz-PROSZE O POMOC 16 ZADA. Przedmiot: Matematyka / Liceum 1 rozwiązanie autor: polska90 2.2.2013 (20:12)

Podobne materiały

Przydatność 100% The terminal

‘The Terminal’ was directed by Steven Spielberg in 2004. The greatest film stars who are playing in this production are: Tom Hanks, Catherine Zeta-Jones, Stanley Tucci and Chi McBride. Viktor Navorski arrives from Krakozhia at an airport in New York. He wants to get an autograph from his dead father’s idol, Jazzman. Viktor keeps all jazzmen’s autographs without this one in a small...

Przydatność 100% Das Terminal - Filmbericht

Dieser Film beschreibt eine unheimliche Geschichte eines Mannes, der seit ber 15 Jahren auf einem Flughafen wohnte. Fr jeden ist es nicht zu fassen, dass das die Wahrheit ist. Viktor Navorski, der Hauptheld, steigt in einem osteuropischen Land in ein Flugzeug, um endlich einmal im Leben New York zu besuchen. Whrend er noch auf dem Flug ist, brechen in seinem Heimatland unerwartete Unruhen...

Przydatność 55% Podzial administracyjny polski po 1 stycznia 1990r.Jego zmiany.

1 stycznia 1999r wprowadzono nowy podzial administaracyjany polski wczesniej od drugiej w.swiatowej system administracyjny kraju podlegal nastepujacym zmiana. -w czerwcu 1946 polske podzielono na 14 wojewudztw drugim szczeblem podzialu byly powiaty trzecim miasta i gminy w czerwcu 1950r lidzba wojewudztw zwiekszyla sie do 17 w styczniu 1955r zniesiono gminy ana ich miejsc wprowadzono...

Przydatność 50% Który termin lepiej przystaje do "ludzi bezdomnych"; "powieść społeczna" czy "powieść psychologiczna"? Uzasadnij swoje odpowiedz.

Powieść „Ludzie bezdomni” jest piątą książką napisaną przez Stefana Żeromskiego. Napisał ja w latach 1898-1899, lecz zawarł w niej doświadczenia i obserwacje całego dotychczasowego życia. Pisarz bardzo dokładnie przygotowywał się do pisania utworu. Stanowi on efekt pasji poznawczej i pozytywistycznych przekonań, że praca pisarska musi łączyć się z rzetelną, naukową...

Przydatność 50% Przedstaw budowę wnętrza Ziemi. Wyjaśnij termin: stopień geotermiczny i omów jego znaczenie w eksploatacji bogactw mineralnych w kopalniach głębin

Wnętrze Ziemi składa się z trzech głównych stref: jądra, płaszcza, skorupy ziemskiej. Jądro zajmuje ponad połowę średnicy Ziemi, panuje tam wysokie ciśnienie. Płaszcz Ziemi dzieli się na dolny i górny. Skorupa ziemska - budują ją skały, stąd skorupę ziemską nazywa się sialem (litosfera). Budowa geologiczna to rodzaj skał, ich wiek, wzajemne położenie w skorupie...

0 odpowiada - 0 ogląda - 1 rozwiązań

Dodaj zadanie

Zobacz więcej opcji