Treść zadania

13kingulkas13

proszę na teraz dam najj!!wykonaj mnożenie
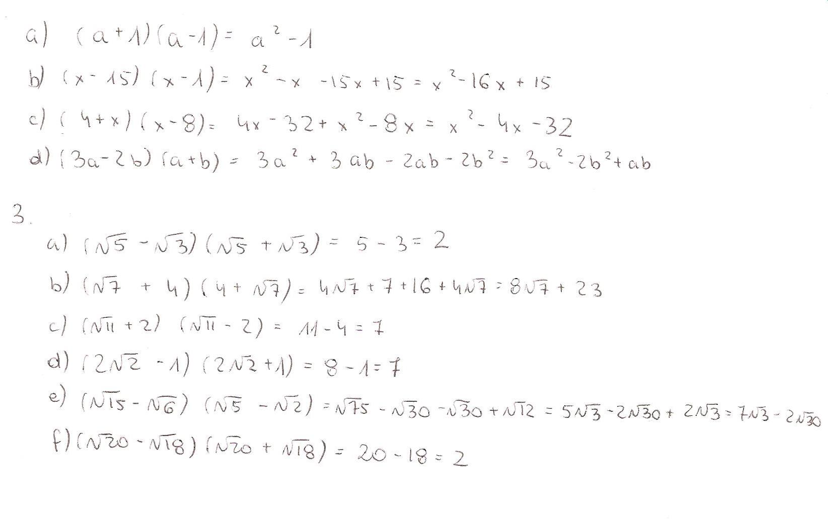
a.(a+1)(a-1)=
b.(x-15)(x-1)
c.(4+x)(x-8)=
d.(3a-2b)(a+b)=
zad3.
wykonaj mnozenie
a.(pierwiastek z 5-pierwiastek 3)(pierwiastek5+pierwiastek3)=
b.(pierwiastek7+4)(4+pierwiastek7)=
c.(pierwiastek11+2)(pierwiastek11-2)=
d.(2pierwiastek2-1)(2pierwiastek2+1)=
e.(pierwiastek15-pierwiastek6)(pierwiastek5-pierwiastek2)=
f.(pierwiastek20-pierwiastek18)(pierwiastek20+pierwiastek18) proszę o pomocc!!piszcie całe działania muszą być wszystkie oblcizenia bo nie przyjme

Zadanie jest zamknięte. Autor zadania wybrał już najlepsze rozwiązanie lub straciło ono ważność.

Najlepsze rozwiązanie

Rozwiązania

Podobne zadania

enigma_-_ Małgosia ma teraz 3 razy tyle lat , ile Jaś miał wtedy , gdy Małgosia Przedmiot: Matematyka / Gimnazjum 1 rozwiązanie autor: enigma_-_ 19.4.2010 (18:41)
DKasia (; Na już !!!!! teraz !!!!! Proszę !!!!! ;) Przedmiot: Matematyka / Gimnazjum 1 rozwiązanie autor: DKasia 12.5.2010 (19:35)
Martusia1994xD33 na teraz>>proszę szybko .. Przedmiot: Matematyka / Gimnazjum 1 rozwiązanie autor: Martusia1994xD33 19.5.2010 (19:21)
ami89 sumę liczby x i liczby 8 większe równą 35 odp teraz na gg 23610525 Przedmiot: Matematyka / Gimnazjum 1 rozwiązanie autor: ami89 26.5.2010 (21:45)
Awarenez matematyka..prosz pomocy Przedmiot: Matematyka / Gimnazjum 2 rozwiązania autor: Awarenez 4.9.2010 (20:49)

0 odpowiada - 0 ogląda - 1 rozwiązań

Dodaj zadanie

Zobacz więcej opcji