Treść zadania

Natalia87

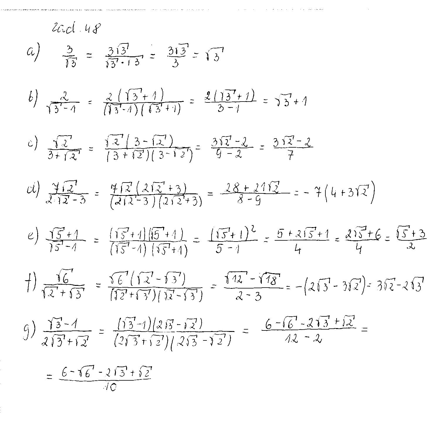
Usuwanie niewymiernosci z mianownika zad 48 w zallaczniku

Bardzo pilne najlepiej gdyby rozwiazAnie bylo w zalaczniku z góry bardzo dziękuję za pomoc

Załączniki do zadania

Zadanie jest zamknięte. Autor zadania wybrał już najlepsze rozwiązanie lub straciło ono ważność.

Najlepsze rozwiązanie

Rozwiązania

Podobne zadania

pako2411 Pilne Położenie prostej i okręgu Przedmiot: Matematyka / Liceum 1 rozwiązanie autor: pako2411 14.4.2010 (17:56)
djmikuss WEKTORY - PILNE Przedmiot: Matematyka / Liceum 1 rozwiązanie autor: djmikuss 16.4.2010 (09:32)
potrzebujaca Niewymiernosc z mianownika Przedmiot: Matematyka / Liceum 3 rozwiązania autor: potrzebujaca 16.4.2010 (16:59)
nikola29 PILNE ! Przedmiot: Matematyka / Liceum 1 rozwiązanie autor: nikola29 16.4.2010 (17:18)
kasiaH171 pilne na jutro Przedmiot: Matematyka / Liceum 1 rozwiązanie autor: kasiaH171 22.4.2010 (19:59)

Podobne materiały

Przydatność 65% Zanieczyszczenie wód naturalnych i ich usuwanie

Zanieczyszczenie wód naturalnych i ich usuwanie Ogólna charakterystyka wód naturalnych Woda występująca w przyrodzie stanowi wodny roztwór substancji nieorganicznych i organicznych, jak również zawiera koloidy i zawiesiny. Substancje znajdujące się w wodzie są pochodzenia naturalnego lub antropogenicznego. Woda, będąc bardzo dobrym rozpuszczalnikiem, zawiera prawie wszystkie...

Przydatność 60% "Bo wykonać mi trzeba dzieło wielkie, pilne, bo z tych kruszców dla siebie serce wykuć muszę [...]" (L. Staff). Czy człowiek może być kowalem swojego

WSTĘP. A. Znane przysłowie mówi, że każdy jest kowalem swojego losu. Mądrość ludowa każe wierzyć w możliwość kreowania własnego życia, nadawania mu kształtu zbliżonego do naszych marzeń i pragnień. Przekonanie to wydaje się bliskie także L. Staffowi, którego słowa stanowią inspirację niniejszych rozważań. Poeta, czyniąc bohaterem wiersza symbolicznego kowala -...

0 odpowiada - 0 ogląda - 2 rozwiązań

Dodaj zadanie

Zobacz więcej opcji