Treść zadania
Autor: Martita1990 Dodano: 11.12.2011 (20:43)
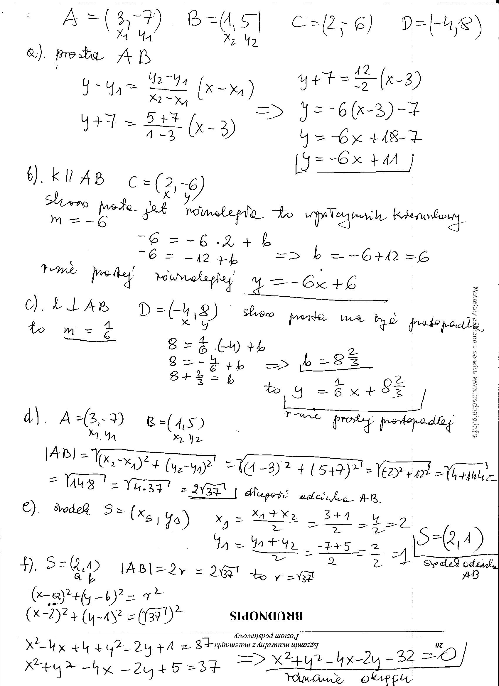
Dane sa punkty:A=(3-7) B=(1;5) C=(2;-6) D=(-4;8) Znajdz rownanie
Dane sa punkty:A=(3-7) B=(1;5) C=(2;-6) D=(-4;8) Znajdz rownanie
A)Prostej AB
B)prostej rownoległej do prostej AB przechodzacej przez punt C
C)prostej prostopadłej AB przechodzacej przez punt D
D)długosc odcinka AB
E)wspołrzedne srodja s odcinka ab
F)rownanie okregu o srodku w punkcie s i srednicy AB
Pomocy!
Zadanie jest zamknięte. Autor zadania wybrał już najlepsze rozwiązanie lub straciło ono ważność.
Najlepsze rozwiązanie
Rozwiązania
Podobne zadania
|
|
1 rozwiązanie | autor: angelika1990 8.4.2010 (18:05) |
|
|
2 rozwiązania | autor: aluszacedro 12.4.2010 (15:22) |
|
|
2 rozwiązania | autor: lukaszunkile 18.4.2010 (16:17) |
|
|
1 rozwiązanie | autor: sylwia25 19.4.2010 (18:44) |
|
|
2 rozwiązania | autor: Aneciorek 20.4.2010 (20:46) |
Podobne materiały
Przydatność 60% Polska - ogółne dane
Polozenie polski na kuli ziemskiej. Polska ma szer pół. a dł wschodnia. Konsekwencje rozciaglosci poludnikowej jest roznica trwania dnia miedzy pół. a poł. Czerwca w Polsce dzien trwa 17h20min w gdyni i jest dluzszy o 1h20min Zakopanem. Konsekwencja rozciaglosci rownoleznikowej jest roznica we wschodzie slonaca, slonce wschodzi wczesniej o 40 min na wsch Polski. Czas letni wedlug...
Przydatność 60% Chorwacja - główne dane
CHORWACJA. PRZEMYSŁ. Główną rolę w gospodarce Chorwacji odgrywa przemysł przetwórczy o zróżnicowanej strukturze gałęziowej; do najważniejszych gałęzi należą: hutnictwo żelaza (Sisak) i aluminium (Lozovac, Razine), przemysł stoczn. (Rijeka, Split, Pula) oraz petrochem. (Sisak, Osijek, Split); duże znaczenie ma przemysł maszyn. (m.in. fabryki: obrabiarek — Zagrzeb, maszyn...
Przydatność 75% Księżyc - ogólne dane
1.Księżyc : To naturalny satelita Ziemi. Otacza ją po swojej orbicie oddalonej od planety o 384400km. Jest piątym co do wielkości Księżycem w Układzie Słonecznym. Średnica Księżyca wynosi trochę więcej niż 1/4 średnicy Ziemi. Przyspieszenie grawitacyjne na jego powierzchni jest blisko 6 razy słabsze, niż na Ziemi (1,6 n/kg). Cały czas widzimy tylko jedną stronę...
Przydatność 55% Dane fizyczne planet Układu Słonecznego
UKŁAD SŁONECZNY Planety wewnętrzne Merkury Merkury jest planetą krążącą najbliżej Słońca. Ze względu na znaczny mimośród (spłaszczenie) orbity, w peryhelium znajduje się półtorakrotnie bliżej Słońca niż w aphelium. Średnia gęstość Merkurego jest w przybliżeniu równa gęstości Ziemi, przy czym około 80% jego masy przypada na żelazne jądro. Powierzchnię...
Przydatność 65% Dane statystyczne surowców mineralnych świata
Dane statystyczne w formie tabeli
0 odpowiada - 0 ogląda - 2 rozwiązań
2 0
rybitwa11 11.12.2011 (22:04)
rozw w zał
Załączniki
Dodawanie komentarzy zablokowane - Zgłoś nadużycie