Treść zadania
Autor: ~bla5 Dodano: 9.12.2011 (21:01)
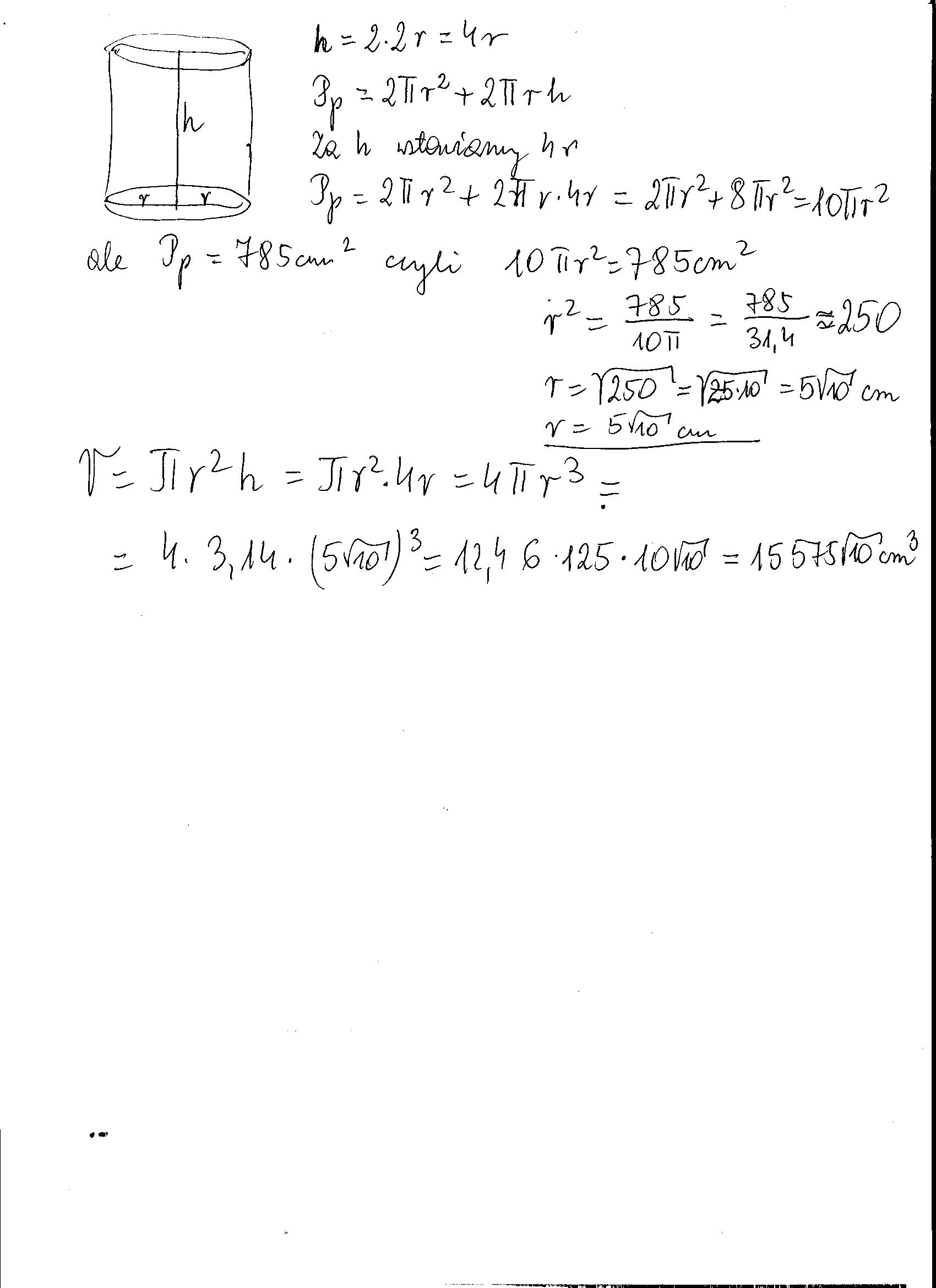
Pole powierzchni całkowitej walca,którego wysokość jest dwa razy dłuższa niż średnica podstawy jest równe 785cm² Oblicz objętość tego walca przyjmując π=3,14
Zadanie jest zamknięte. Autor zadania wybrał już najlepsze rozwiązanie lub straciło ono ważność.
Najlepsze rozwiązanie
Rozwiązania
-
Agnes648 9.12.2011 (22:00)
Pc=2*Pp+Pb
Pp=Pi r^2
Pb= H* 2 pi r
poniewaz wysokosc jest 2 razy dluzsza niz srednica
H= 2*2r=4r
785=2*3,14* r^2+ 4*r*2*3,14 ^r
785=6,28 r^2+25,12 r^2
785=31,4 r^2
r^2=25
r=5
H=20
V=Pp*H
V=3,14^5^2*20
V=1570 cm^3
^-potegaDodawanie komentarzy zablokowane - Zgłoś nadużycie
Podobne zadania
|
|
1 rozwiązanie | autor: pawel 24.3.2010 (16:28) |
|
|
2 rozwiązania | autor: MartaGrzeszczak1 29.3.2010 (17:43) |
|
|
1 rozwiązanie | autor: lusi1069 30.3.2010 (16:42) |
|
|
1 rozwiązanie | autor: olo 30.3.2010 (18:23) |
|
|
1 rozwiązanie | autor: olo 30.3.2010 (18:36) |
Podobne materiały
Przydatność 100% Dusza
1. Człowiek istotą cielesną - duchową a) dusza - jest nieśmiertelna - jest bezpośrednio stwarzana przez Boga - połączy się na nowo z ciałem w dniu ostatecznego zmartwychwstania b) ciało - jest dobre i godne szacunku - zostanie wskrzeszone w dniu sądu ostatecznego - dzięki duszy duchowej ciało stworzone jest 2. Zmartwychwstanie ciała a zmartwychwstanie w Jezusa Aby...
Przydatność 80% Dusza ludzka
DUSZA LUDZKA Dusza ludzka – można przyjąć, ze w tłumaczeniu słownikowym, jest to czynnik, który ożywia ciało ludzkie. Dusza istnieje sama w sobie, niezależnie od ciała, gdyż ciało może ulec zniszczeniu, a dusza zawsze pozostaje. Wynika z takiego tłumaczenia, że dusza ludzka jest niezniszczalna, nieumierająca, że jest to czynnik wieczny. Czy zwierzęta...
Przydatność 75% Inżynierai powierzchni
POWIERZCHNIA CIAŁA STAŁEGO np. narzędzi, maszyny, elementu konstrukcyjnego jest obiektem oddziaływania (świadomego) w celu nadania odpowiednich własności fiz. i chem./ Obrazem rzeczywistej budowy ciała stałego jest zbiór nieciągłości w skali makro lub mikro, składający się ze szczelin, porowatości, nieregularnej struktury, obecności ciał stałych. Powierzchnia ciała...
Przydatność 55% Pole elektrostatyczne
Polem elektrostatycznym nazywamy własność przestrzeni polegająca na tym że na umieszczone w tej przestrzeni ciała naelektryzowane działa siła elektryczna. Natężeniem pola elektrostatycznego w danym punkcie nazywamy stosunkiem siły działającej na umieszczony w tym punkcie próbny ładunek dodatni q+ do tego ładunku. Super pozycją pul nazywamy sumę natężeń w danym punkcie pola...
Przydatność 50% Pole magnetyczne
1. Działanie pola magnetycznego na ładunki elektryczne Pole magnetyczne – właściwość przestrzeni polegająca na tym, że jeżeli w tej przestrzeni umieścimy magnesy lub przewodniki, przez które przepływa prąd elektryczny lub poruszające się ładunki elektryczne, to będą na nie działały siły magnetyczne. Siłę działającą na przewodnik, przez który przepływa prąd...
0 odpowiada - 0 ogląda - 2 rozwiązań
1 0
rybitwa11 9.12.2011 (21:59)
rozwiązanie w załączniku
Załączniki
Dodawanie komentarzy zablokowane - Zgłoś nadużycie