Treść zadania
Autor: joanna26 Dodano: 9.12.2011 (10:57)
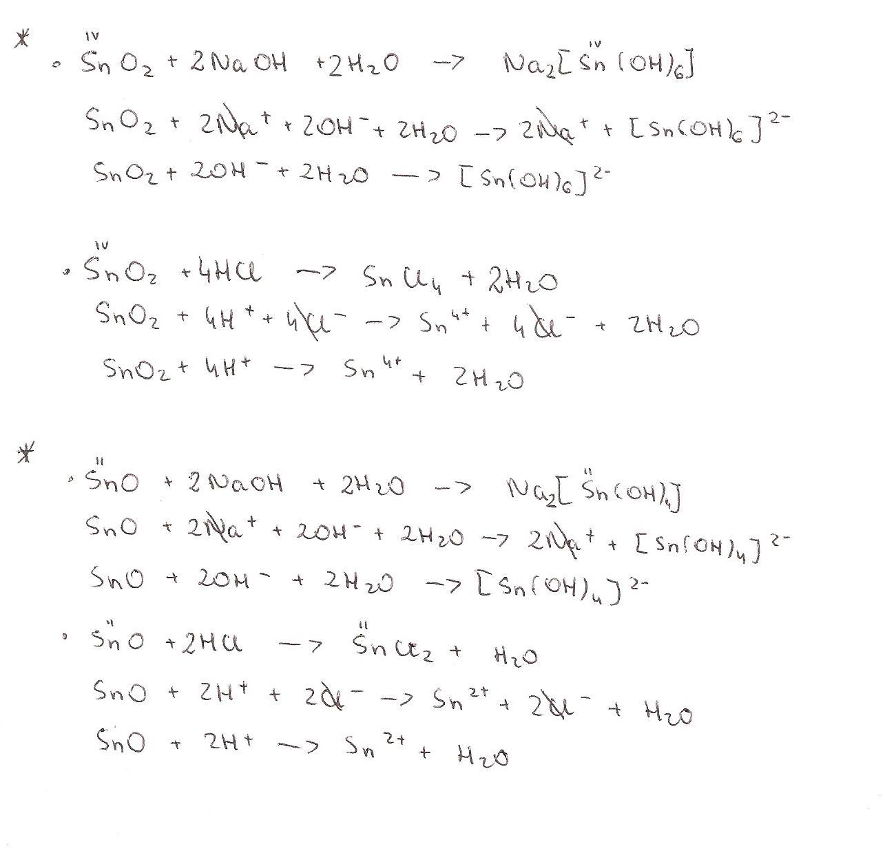
Tlenek Sn4 i tlenek Sn2 sA tlenkami amfoterycznymi. Uzasadnij potwierdzenie pisząc cząsteczkowo i jonowo równania reakcji tych tlenków NaOH i HCL.
Zadanie jest zamknięte. Autor zadania wybrał już najlepsze rozwiązanie lub straciło ono ważność.
Najlepsze rozwiązanie
Rozwiązania
Podobne zadania
|
|
1 rozwiązanie | autor: maly7237 9.4.2010 (16:21) |
|
|
1 rozwiązanie | autor: olaa92_92 26.4.2010 (15:33) |
|
|
1 rozwiązanie | autor: eliasz 16.5.2010 (20:49) |
|
|
1 rozwiązanie | autor: zymonn 20.5.2010 (21:04) |
|
|
1 rozwiązanie | autor: Szogunek1500 26.9.2010 (19:30) |
Podobne materiały
Przydatność 65% Tlenek węgla
Tlenek węgla CO nazwa zwyczajowa: czad nazwa systematyczna: tlenek węgla(II) Jest to nieorganiczny związek chemiczny. Ma silne własności toksyczne. W naturze występuje w gazach kopalnianych. Ma zastosowanie w wielu procesach przemysłowych. Właściwości: 1. Właściwości fizyczne: • w temperaturze pokojowej bezbarwny, bezwonny i niedrażniący gaz • trudno...
Przydatność 55% Tlenek krzemu (IV) - SiO2 (szkło)
Dwutlenek krzemu (krzemionka) to substancja stała występująca w trzech odmianach polimorficznych: kwarc, trydymit, krystobalit. Dwutlenek krzemu topi się w temp. 1710oC. Nawet podczas bardzo wolnego ochładzania zestala się na szkliste, bezpostaciowe ciało stałe (szkło kwarcowe), odporne na działanie czynników chemicznych z wyjątkiem fluorowodoru i alkaliów. Szkło kwarcowe ma mały...
Przydatność 65% Potwierdzenie tezy: „nie ma wątpliwości, że warto poznać Afrykę, kraj wielkich kontrastów”.
Popieram w pełni opinie: ?nie ma wątpliwości, że warto poznać Afrykę, kraj wielkich kontrastów?. Aby potwierdzić powyższą opinię przytoczę kilka argumentów. Pierwszym argument, który potwierdza tezę zawartą w temacie jest, że Afryka to kontynent bogaty w kulturę, religię oraz zróżnicowaną ludność. W skutek handlu oraz podbojów rozwinęła się wiara w istnienie...
Przydatność 65% Uzasadnij, że bohater .....
Każdy człowiek będący za granicą tęskni za swoją ojczyzną. W obcym kraju czuje się zagubiony, powoli traci uczucie przywiązania do miejsca gdzie się urodził. Jest mu już obojętne miejsce zamieszkania,lecz są chwile, gdzie miejscami jest w ojczyźnie. Z bohaterem J.Słowackiego-Skawińskim-było tak samo do czasu gdy dostał paczkę z polska książką “Pan Tadeusz”...
Przydatność 55% Uzasadnij, że bajki
"Bajki i przypowieści na cztery części podzielone" powstały w latach 1776-78, a wydane zostały w roku 1779 r., natomiast "Bajki nowe" - to efekt pracy Ignacego Krasickiego z lat 1779-1800. Obie serie ukazały się w roku 1804 r. w wydaniu zbiorowym "Dzieł poetyckich", w t. 2. Wśród utworów Krasickiego można wskazać bajki: . Ezopowe - Jej bohaterami są...
0 odpowiada - 0 ogląda - 1 rozwiązań
1 0
woka 9.12.2011 (15:01)
rozwiązanie w załączniku
Załączniki
Dodawanie komentarzy zablokowane - Zgłoś nadużycie