Treść zadania
Autor: mateuszgod Dodano: 7.12.2011 (20:55)
Witam. Zwracam się do Was z kilkoma zadaniami. Proszę o szybką odpowiedź, bo pisze jutro poprawę, a nie wiem jak rozwiązać tego typu zadania. A więc:
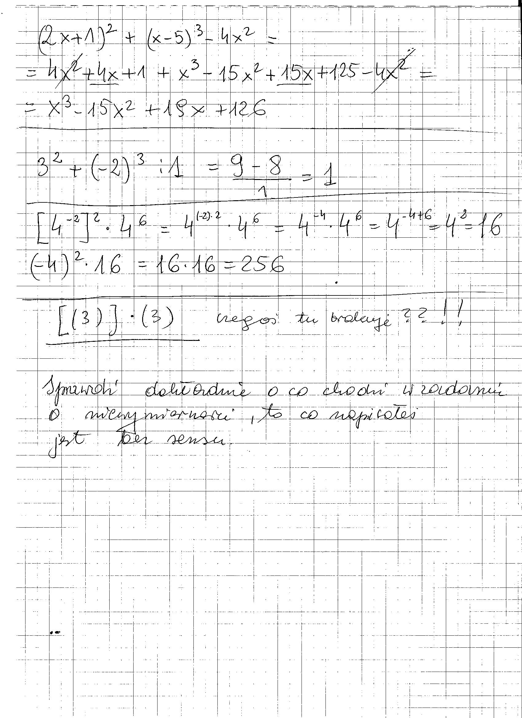
Sprowadź do najprostszej postaci (2x + 1)² + (x-5)³ - 4x²=
Uwolnij od niewymierności: 7 2 √2+1
√5 ; √5+√3 ; √2-1
Oblicz: 3²+(-2)³ :1 ; [( 4 ) ⁻²] ² ( 4)⁶
(-4)² 16 = [( 3 ) ] · ( 3) =
Proszę o wyniki jak i to jak zadanie rozwiązać. Z góry dzięki.
Zadanie jest zamknięte. Autor zadania wybrał już najlepsze rozwiązanie lub straciło ono ważność.
Najlepsze rozwiązanie
Rozwiązania
Podobne zadania
|
|
1 rozwiązanie | autor: Jixxufis 27.5.2010 (19:09) |
|
|
1 rozwiązanie | autor: anitkaa1593 8.9.2010 (20:15) |
|
|
1 rozwiązanie | autor: dawid2703 5.10.2010 (18:35) |
|
|
1 rozwiązanie | autor: bboymati 17.10.2010 (13:51) |
|
|
2 rozwiązania | autor: krzychuk 23.10.2010 (15:45) |
Podobne materiały
Przydatność 55% Początki państwa polskiego. Materiał powtórzeniowy dla gimnazjum z zadaniami
w załączniku
Przydatność 60% Czy zgadzasz się ze zdaniem: "Statek w porcie jest bezpieczny, ale nie po to buduje się statki." Czy w życiu warto ryzykować? Swoje zdanie poprzyj kilkoma argumentami.
Napisz rozprawkę na temat: ,, Czy zgadzasz się ze zdaniem: ,,Statek w porcie jest bezpieczny, ale nie po to buduje się statki." Czy w życiu warto ryzykować? Swoje zdanie poprzyj kilkoma argumentami w tym dwoma z literatury. Kto nie ryzykuje ten nie zyskuje. Czy to twierdzenie jest prawdziwe? Często boimy się ryzyka, wolimy wybrać opcję bezpieczniejszą. Jest to typowe zachowanie...
0 odpowiada - 0 ogląda - 1 rozwiązań
1 0
rybitwa11 7.12.2011 (21:27)
rozw w zał
Załączniki
Dodawanie komentarzy zablokowane - Zgłoś nadużycie