Treść zadania
Autor: ja512 Dodano: 7.12.2011 (18:03)
Rozwiąż równania: 1. (3x-12) (x+2) (x-1)
2. x3+2x2-3x-6=0
Rozwiąż nierówności: 1. x3-4x2-5x+20 znak mniejsze i równe 0
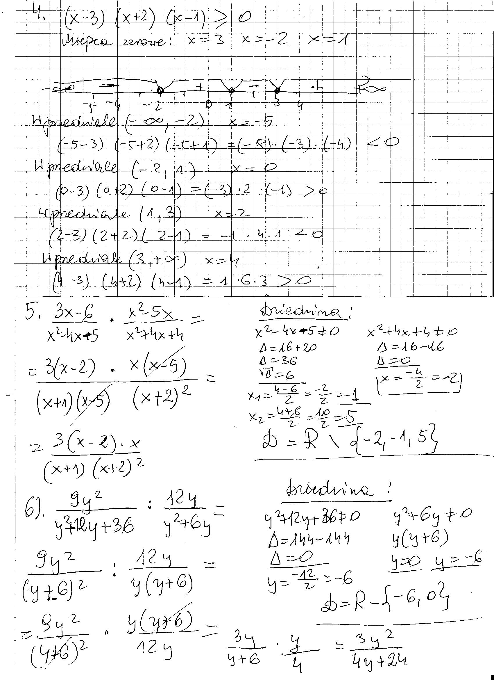
2. (x-3)(x+2)(x-1) znak wieksze i równe 0
wykonaj działania 1. __3x-6_______ * __x2-5x_____
x2-4x-5 x2+4x+4
2. ___9y2_______ : ___12y______
x2+12x+36 x2+6x
3. ___5_____ - (minus) ____4-3x2______
2x2+6x x2-9
4. __3____ + __x+1____
x+2 x2-9
Zadanie jest zamknięte. Autor zadania wybrał już najlepsze rozwiązanie lub straciło ono ważność.
Najlepsze rozwiązanie
Rozwiązania
0 odpowiada - 0 ogląda - 1 rozwiązań
1 0
rybitwa11 7.12.2011 (19:46)
rozwiązanie w załącznikiu
Załączniki
Dodawanie komentarzy zablokowane - Zgłoś nadużycie