Treść zadania
Autor: ~gabi Dodano: 6.12.2011 (18:27)
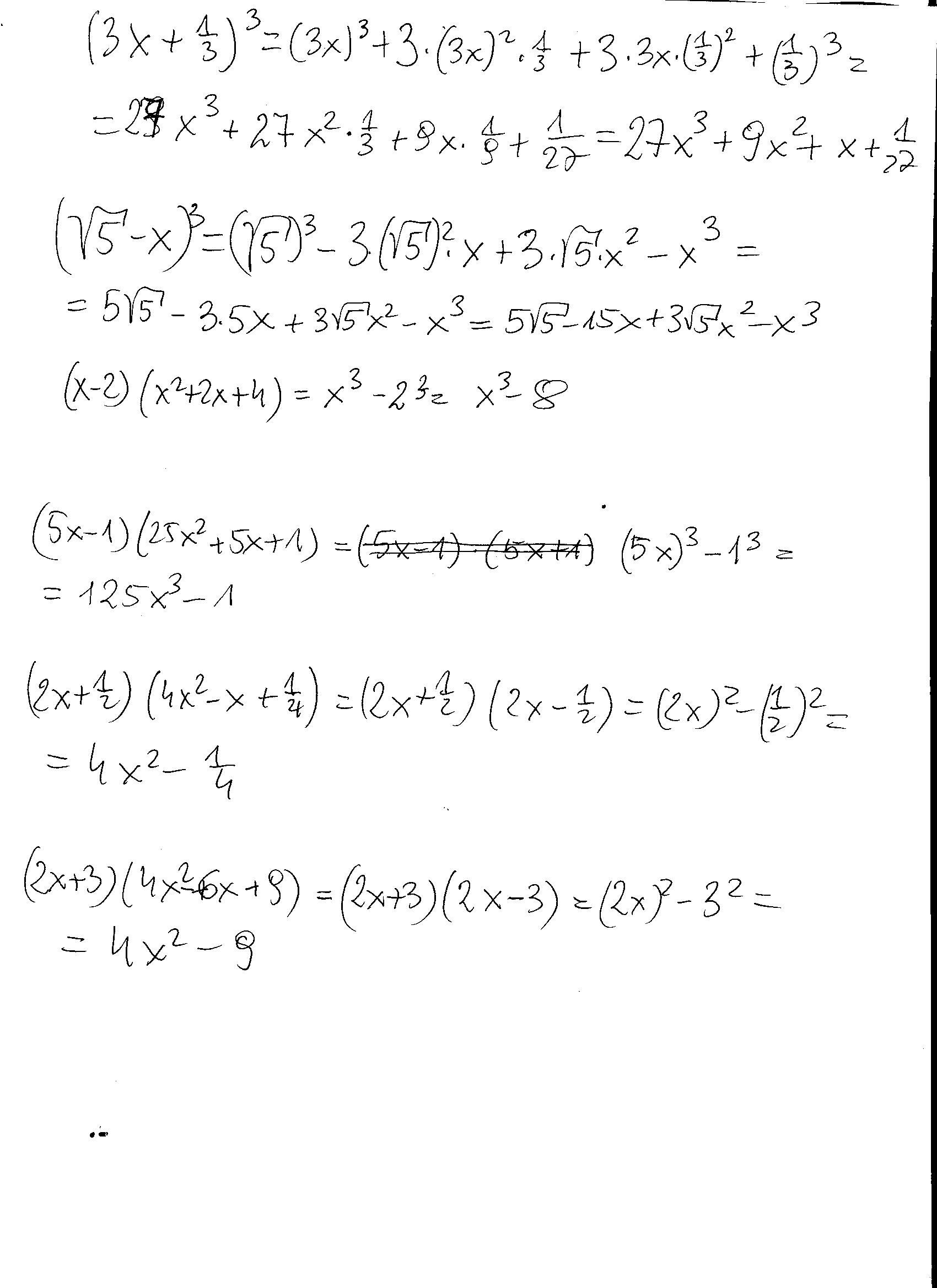
Wyznacz iloczyn korzystajac ze wzorów skróconego mnożenia.
(3x+ jedna trzecia)^3
(√5 - x)^3
(x-2)(x^2 + 2x +4)
(5x-1)(25^2 + 5x +1)
(2x + jedna druga)(4x^2 - x + jedna czwarta)
(2x +3) (4x^2-6x+9)
Zadanie jest zamknięte. Autor zadania wybrał już najlepsze rozwiązanie lub straciło ono ważność.
Najlepsze rozwiązanie
Rozwiązania
Podobne zadania
|
|
2 rozwiązania | autor: MartaGrzeszczak1 29.3.2010 (17:43) |
|
|
2 rozwiązania | autor: nikola29 15.4.2010 (19:01) |
|
|
1 rozwiązanie | autor: lukaszunkile 18.4.2010 (16:16) |
|
|
1 rozwiązanie | autor: krystian2409 26.4.2010 (15:43) |
|
|
1 rozwiązanie | autor: aniusia9317 17.5.2010 (17:38) |
Podobne materiały
Przydatność 65% List, w którym wyznacze cele na nowy rok szkolny.
Przysietnica 02.09.2009 Angeliko! Pierwszego września rozpoczęłam nowy rok szkolny. Pamiętam, że jest to dzień szczególny, także z powodu siedemdziesiątej rocznicy wybuchu II Wojny Światowej. Wiem, że wtedy wiele dzieci ie mogło...
0 odpowiada - 0 ogląda - 1 rozwiązań
2 0
rybitwa11 6.12.2011 (19:10)
rozw w zał
Załączniki
Dodawanie komentarzy zablokowane - Zgłoś nadużycie