Treść zadania

13kingulkas13

czekam do 18:50 , błagam was pomóżciee!!!bardzo zależy mi na szybkiej odpowiedzi

Załączniki do zadania

Zadanie jest zamknięte. Autor zadania wybrał już najlepsze rozwiązanie lub straciło ono ważność.

Najlepsze rozwiązanie

Rozwiązania

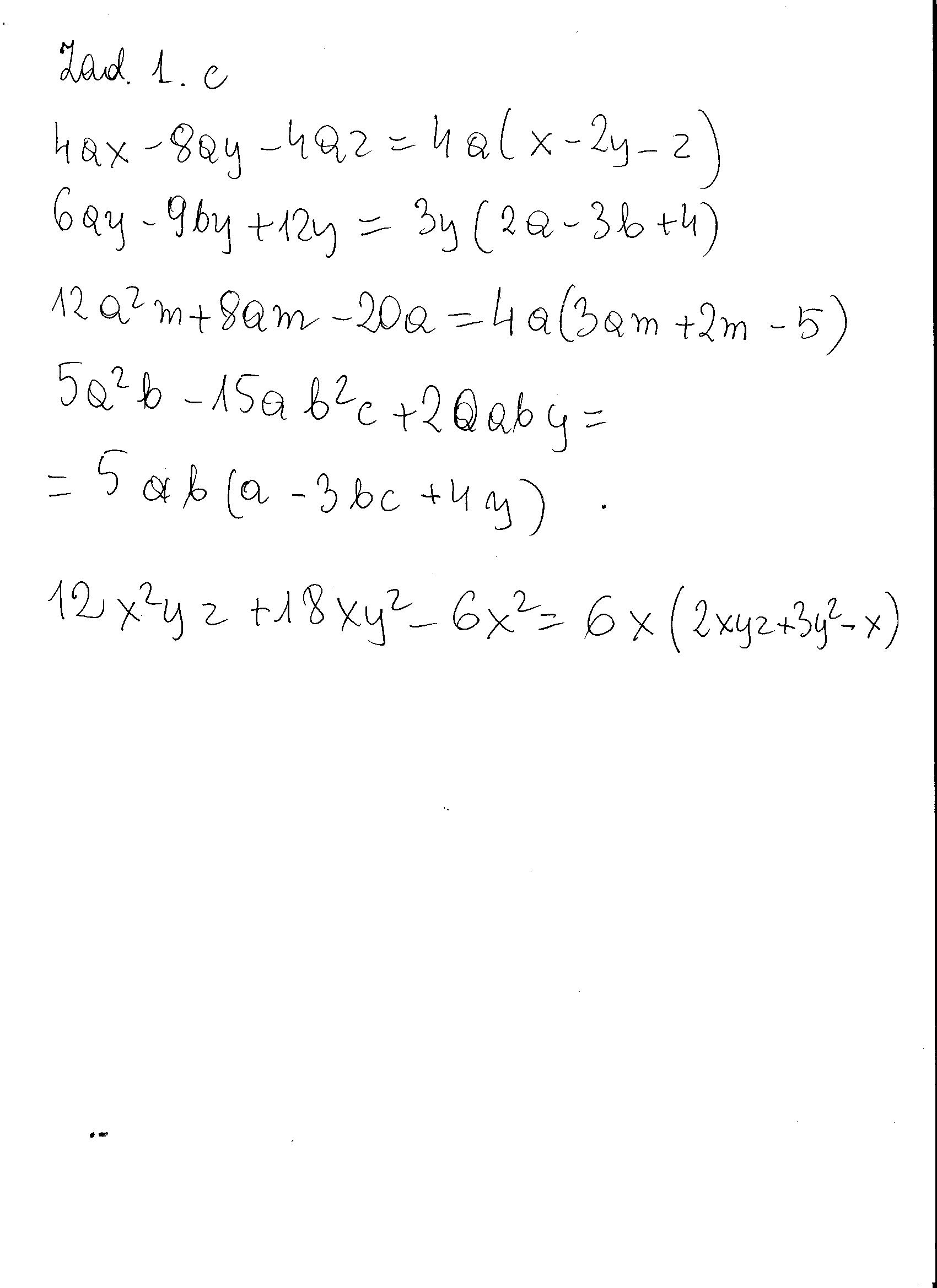
  • userphoto

    b) 6x2b - 3x = 3x( 2xb-1 )
    x2/2 - x/2 = x/2 ( x - 1 )
    3/4 p2q-0,75 pq2= 3/4 pq( p- q )

    To tylko b ?

Podobne zadania

patrykkce potrzebuje szybkiej pomocy ;( Przedmiot: Matematyka / Gimnazjum 1 rozwiązanie autor: patrykkce 8.9.2010 (18:40)
Werandka1997 matematyka proszę na teraz czekam do 19.15 Przedmiot: Matematyka / Gimnazjum 1 rozwiązanie autor: Werandka1997 12.9.2010 (19:04)
Werandka1997 zadanie z matematyki HELP!!!!!!!czekam do 18.30!!!!! Przedmiot: Matematyka / Gimnazjum 1 rozwiązanie autor: Werandka1997 14.9.2010 (18:16)
Kamil1997 PILNE !!! SZYBKO CZEKAM DAJE NAJLEPSZE@@@ Przedmiot: Matematyka / Gimnazjum 3 rozwiązania autor: Kamil1997 21.9.2010 (14:49)
Gabunia12 matematyka na dziś do godziny 17.00 czekam! Przedmiot: Matematyka / Gimnazjum 1 rozwiązanie autor: Gabunia12 29.9.2010 (16:47)

Podobne materiały

Przydatność 50% AG Carinae - zmienny niebieski nadolbrzym o szybkiej rotacji

Masywne gwiazdy mają ogromny wpływ na chemiczną i dynamiczną ewolucję galaktyki. Dostarczają energii i pędu i wyrzucają produkty nukleosyntezy do ośrodka międzygwiazdowego. Szczegółowa wiedza o ewolucji masywnych gwiazd jest więc zasadniczym elementem zrozumienia dzisiejszej struktury galaktyk macierzystych, które w szczególności na początku swojego istnienia były zdominowane...

0 odpowiada - 0 ogląda - 2 rozwiązań

Dodaj zadanie

Zobacz więcej opcji