Treść zadania
Autor: 13kingulkas13 Dodano: 6.12.2011 (17:46)
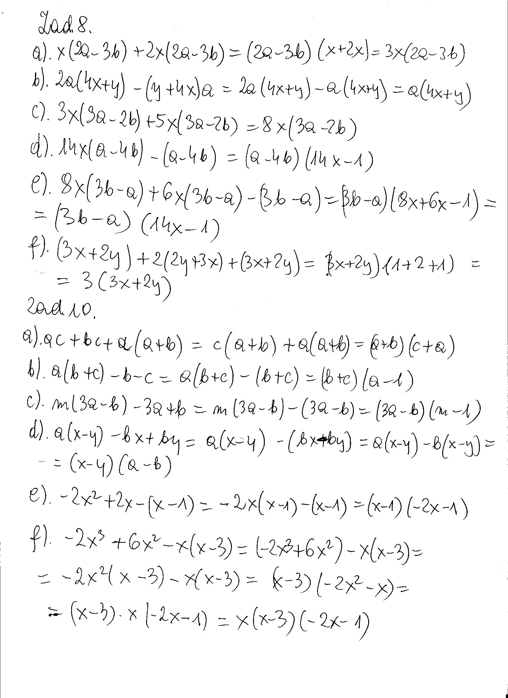
UWAGA!dam naj czekam do 18:00proszę,błagam!!zadanie8!!!plis
wyłącz czynnik przed nawias prosze<3
piszcie wszystkie działania
Komentarze do zadania
Zadanie jest zamknięte. Autor zadania wybrał już najlepsze rozwiązanie lub straciło ono ważność.
Najlepsze rozwiązanie
Rozwiązania
Podobne zadania
|
|
3 rozwiązania | autor: kasia171319 6.6.2010 (19:56) |
|
|
1 rozwiązanie | autor: Werandka1997 12.9.2010 (19:04) |
|
|
3 rozwiązania | autor: paulina0002224 13.9.2010 (19:22) |
|
|
1 rozwiązanie | autor: Werandka1997 14.9.2010 (18:16) |
|
|
3 rozwiązania | autor: Madzia15395 15.9.2010 (19:25) |
Podobne materiały
Przydatność 75% Człowiek jako czynnik rzeźbotwórczy.
Działalność człowieka najbardziej zaznacza się w litosferze, a polega ona na zmianie naturalnej rzeźby powierzchni Ziemi. Na Ziemi żyje coraz więcej ludzi, rozszerzają się obszary koncentracji ludności. Kształtowanie się dużych organizmów miejskich, nasilające się procesy urbanizacyjne ( zespoły przemian związanych z rozwojem miast) na Ziemi, wywołują konieczność...
Przydatność 55% Roślinność jako czynnik ekologiczny
Królestwo roślin wykazuje zdumiewającą różnorodność. Należą do niego mikroskopijne bakterie (niektóre szkodliwe, inne potrzebne człowiekowi) i rośliny. Rola roślin jest w naszym świecie nieoceniona, są one głównym producentem przeogromnej ilości substancji organicznej - stanowiąc bazę pokarmową dla zwierząt i człowieka. Żywice drzew iglastych są również ważnym...
Przydatność 60% Prawidłowe odżywianie – czynnik właściwego funkcjonowania
Pokarm, jak wiemy, jest naszym „paliwem”. Bez niego nasze ciało nie mogłoby w ogóle funkcjo-nować, a tym bardziej się rozwijać. Spożywając pokarm dostarczamy naszemu organizmowi wielu niezbędnych składników. Składnikiem tzw. budulcowym jest białko, bierze ono też udział w rege-neracji komórek. Obok wody, nasze ciało głównie zbudowane jest z tego składnika. Źródłem...
Przydatność 50% Handel zgaraniczny jako czynnik sprzyjający rozwojowi gospodarki.
Handel towarami i usługami pomiędzy państwami ma zasadniczy wpływ na stan światowej gospodarki. To właśnie sytuacja na globalnym rynku decyduje o bogactwie lub ubóstwie wielku milionów ludzi. Historia międzynarodowego handlu ma już kilka tysięcy lat. Od zarania cywilizacji w miastach dorzeczy Tygrysu i Eufratu funkcjonowali kupcy którzy kupowali i sprzedawali różne towary,...
Przydatność 60% Media jako czynnik kształtujący obraz współczesnego świata
Współczesny człowiek żyje w natłoku problemów i spraw, jest uczestnikiem wielu wydarzeń w skali makro i mikro. Cały świat to potop informacji i rozrywki. Trzeba wybierać to, co najważniejsze, a następnie streszczać i przekazywać w przyjaznej formie. To właśnie jest głównym zadaniem mediów, czyli telewizji, radia i prasy, które są współczesnymi środkami masowego...
0 odpowiada - 0 ogląda - 1 rozwiązań
1 0
rybitwa11 6.12.2011 (18:29)
rozwiązanie w załaczniku
Załączniki
Dodawanie komentarzy zablokowane - Zgłoś nadużycie