Treść zadania

~aaaaaa

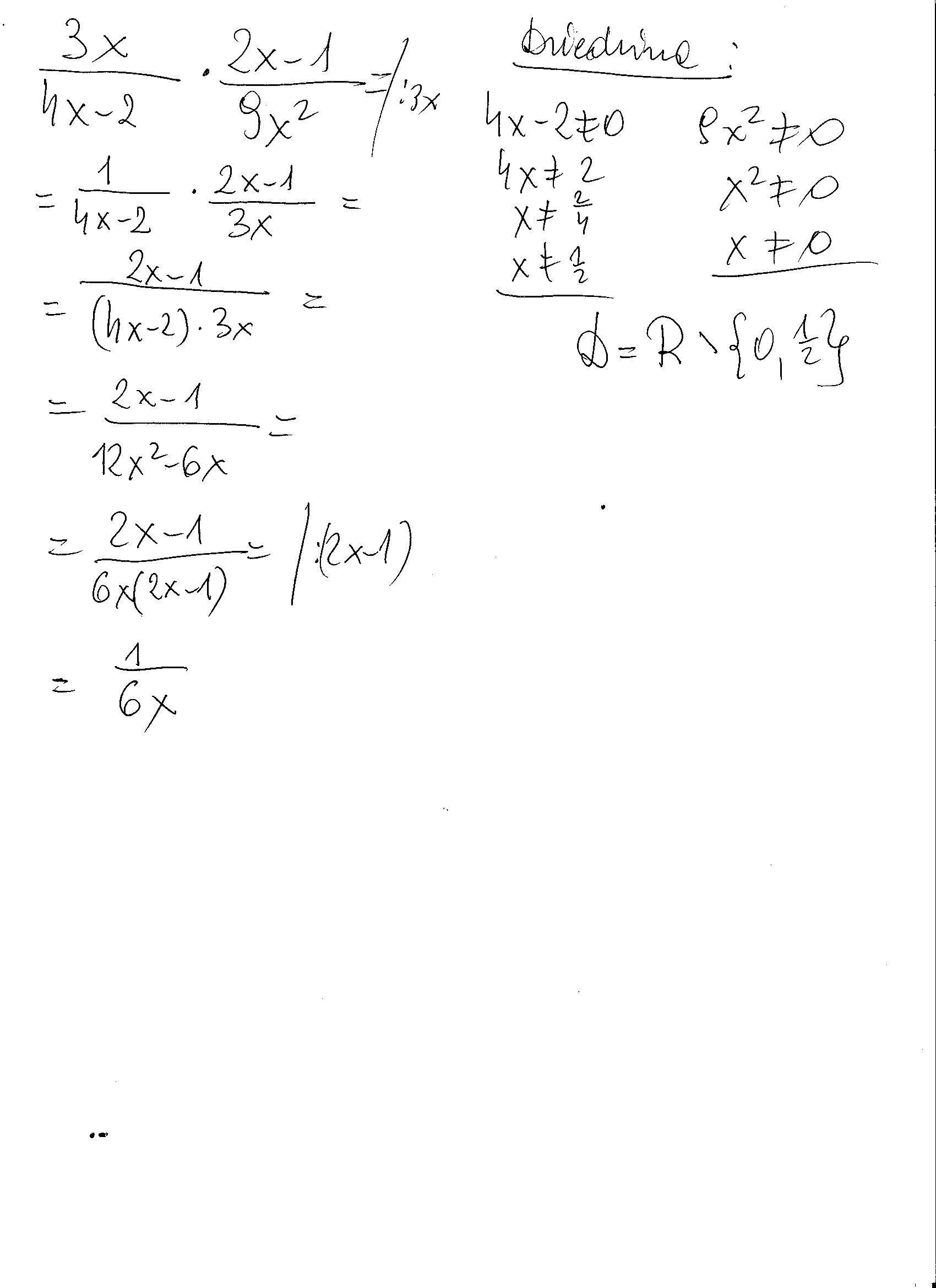
Określ dziedzinę wyrażenia, a nastepnie wykonaj działania i przedstaw wynik w jak najprostszej postaci.
a) 3x / 4x-2 * 2x-1 / 9x x przy 9 do kwadratu

Zadanie jest zamknięte. Autor zadania wybrał już najlepsze rozwiązanie lub straciło ono ważność.

Najlepsze rozwiązanie

Rozwiązania

Podobne zadania

misia156 cene towaru podniesiono najpierw o 20% a nastepnie zmniejszono o 24 zł. jaka Przedmiot: Matematyka / Liceum 2 rozwiązania autor: misia156 15.4.2010 (15:45)
kahakaha jurek wypil 1/6 czesci szklanki soku i dolal wody. nastepnie wypil 1/3 czesc Przedmiot: Matematyka / Liceum 1 rozwiązanie autor: kahakaha 18.5.2010 (17:59)
misia11 PILNE!!! przedsiebiorstwo w danym roku uzyskało wynik britto w wysokosći 920 Przedmiot: Matematyka / Liceum 1 rozwiązanie autor: misia11 4.6.2010 (18:11)
ewkaa644 Wykonaj podane działania. Przedmiot: Matematyka / Liceum 3 rozwiązania autor: ewkaa644 11.8.2010 (16:46)
ewkaa644 Wykonaj podane działania. Przedmiot: Matematyka / Liceum 3 rozwiązania autor: ewkaa644 11.8.2010 (20:44)

Podobne materiały

Przydatność 50% Wynik Rutherforda

Wynik Rutherforda Celem eksperymentu Rutherforda bylo potwierdzenie teorii, ze atomy sa latwo przenikalnymi, neutralnymi kulkami. Oczekiwano, ze naladowane czastki alfa, niosace duza energie bez problemu przebija sie przez kilka atomow. Czastki alfa mialy zatem przebijac sie na wprost przez cienka warstwe zlota i pozostawic slady na niewielkim wycinku ekranu z tylu, za folia....

Przydatność 55% Wynik finansowy

1.Opisz i scharakteryzuj wynik finansowy netto i jego rozliczenie. Prowadząc działalność gospodarczą, przedsiębiorstwo może osiągnąć dodatni (pozytywny) wynik finansowy, kiedy przychody będą wyższe od kosztów lub też może osiągać wartość ujemną (negatywną), wówczas, kiedy to koszty osiągną wyższą wartość. Tylko dodatni wynik finansowy jest zyskiem, natomiast...

Przydatność 60% Wynik finansowy

WYNIK FINANSOWY jest podstawowym miernikiem oceny działalności podmiotu gospodarczego gdyż odzwierciedla w sposób całościowy osiągnięte efekty i poniesione nakłady. Dodatni wynik finansowy jest zyskiem a ujemny stratą. WYNIK NA SPRZEDAŻY stanowi różnicę między sumą należnych przychodów ze sprzedaży produktów, towarów towarów innych skł. Majątku obrotowego bez podatku...

Przydatność 60% Wynik finansowy,koszty,przychody

Wynik finansowy Prowadząc działalność gospodarczą, przedsiębiorstwo może osiągnąć dodatni (pozytywny) wynik finansowy, kiedy przychody będą wyższe od kosztów lub też może osiągać wartość ujemną (negatywną), wówczas, kiedy to koszty osiągną wyższą wartość. Tylko dodatni wynik finansowy jest zyskiem, natomiast wynik ujemny jest stratą...

Przydatność 50% Klasyfikacja dziedzin przemyslu(sciąga)

Klasyfikacja dziedzin przemyslu : 1.Przemysl wydobywczy 2.Przemysl przetwórczy a)energetyczny b)metalurgiczny c)elektromaszynowy -metalowy -maszynowy -samochodowy(ś.t) (ś.t) znaczy: -stoczniowy(ś.t) przem.środków -lotniczy(ś.t) transportu -taboru kolejowego(ś.t) d)chemiczny -chemiczny ciężki -chemiczny lekki Jfarmaceutyczny...

0 odpowiada - 0 ogląda - 2 rozwiązań

Dodaj zadanie

Zobacz więcej opcji