Treść zadania
Autor: norbert12 Dodano: 6.12.2011 (14:58)
1. Zapisz podane wyrażenia w postaci potęgi:
a) ³√81 4√27 (pierwszy pierwiastek ma pod soba drugi, i 4 jest nad pierwiastkiem 27)
b) 25⁻² · 125⁻¹ / ³√5 ·625 (/ napisalem jako kreska ulamkowa)
2. Oblicz wartosc wyrazen:
a) [( 5/8)⁻³]° +3 ·4 -3/2(-3/2 na górze) + 64 -3/2(-3/2 na gorze) - (-2)³
b) [(√3 -1)] (√3 +1)]² + (4 √3(√3 na gorze)) √3/2(√3/2 na gorze)
3. Rozwiąż rownania:
a) 9 2x-1(2x-1 na gorze) =1
b) (⅔) 3x-1(3x-1 na gorze) ≥1
c) (2/9) 3x-7(3x-7 na gorze) >(2/9) 7x-3(7x-3 na gorze)
d) 3 x (x na gorze) ·(1/3) x-3 (x-3 na gorze) ≤ (1/27)x (x na gorze)
4. rozwiaz:
a) 3 2x+3(2x+3 na gorze) + 3 2x+1(2x+1 na gorze) =30
b) 2 · 16 x ( x na gorze) - 2 4x(4x na gorze)≤ 15 + 4 2x-2 (2x-2 na gorze)
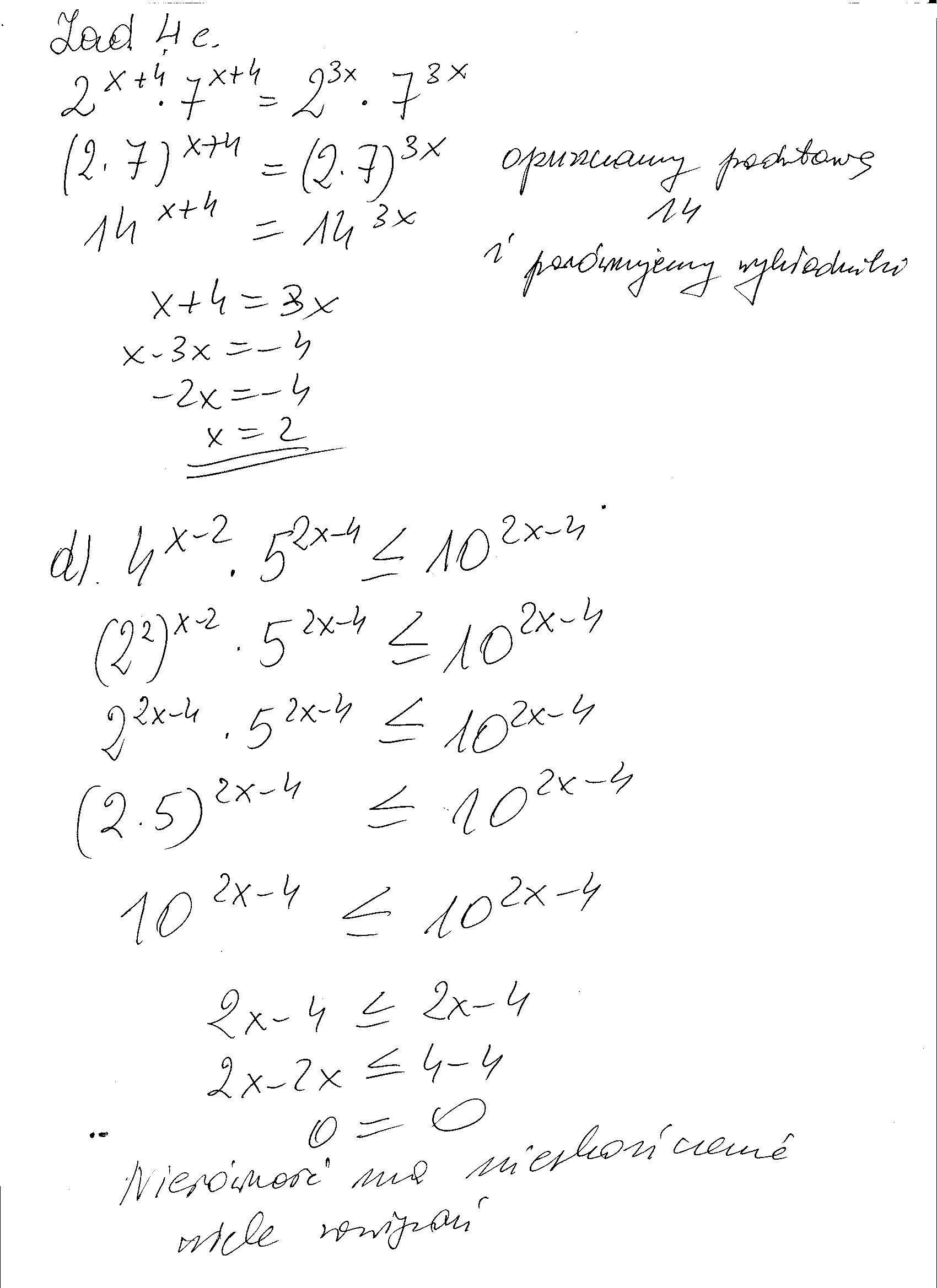
c) 2 x+4(2x+4 na gorze) ·7 x+4(x+4 na gorze) = 2 3x (3x na gorze) ·7 3x (3x na gorze)
d) 4 x-2(x-2 na gorze) ·5 2x-4 (2x-4 na gorze)≤ 10 2x-4(2x-4 na gorze)
5. rozwiaz:
a) log₂(x-1)=4
b) logx (x na gole) (3x-1)=1
c) log x-1(x-1 na dole) (x+1)=1
d) log₅ ( 3x-2)<1
e) log½ (½na dole)(1+2x)≥-2
f) log ⅓ (⅓na dole) (3x - 5) >log ⅓ (⅓na dole) 8 - log ⅓ (⅓na dole) 2
g) log₄ (x-2) ≤ 3 log ₄²
i) log ₂ 3-x/x <0
j) log ₂ (x² - 2x)≥ 3
k) log½(½na dole) (x² - 5x +6)< -1
Zadanie jest zamknięte. Autor zadania wybrał już najlepsze rozwiązanie lub straciło ono ważność.
Najlepsze rozwiązanie
Rozwiązania
Podobne zadania
|
|
1 rozwiązanie | autor: patrycja0031 15.4.2010 (19:34) |
|
|
1 rozwiązanie | autor: sylwia25 19.4.2010 (18:44) |
|
|
2 rozwiązania | autor: Aneciorek 20.4.2010 (20:46) |
|
|
2 rozwiązania | autor: dalia 20.4.2010 (22:11) |
|
|
1 rozwiązanie | autor: saralesz 5.5.2010 (13:58) |
Podobne materiały
Przydatność 50% Postacie
Banach-matematyk, profesor Uniwesyt Lwows. Beck-polityk,szef gabinetu ministra spraw wojskowych,pracownik Piłsudskiego Beria-szef NKWD,usprawnienie pracy aparatu bezpieczeństwa,powołanie szkoły dla NKWD Budionny-marszałek ZSRR,dowódca Armii Czerwonej,umocnił i zmodernizował siły zbrojne Chamberlain-konserwatywny polityk brytyjski,premier,rzecznik ustępstw przeciw hitlerowcom...
Przydatność 70% Eniac - pierwszy komputer
W 1883 roku angielski wynalazca Charles Babbage zaprojektował maszynę liczącą - nie doceniony w swoich czasach i nazwany "ot, jeszcze jedna zabawka" uważany jest dziś za pierwszy komputer. Za to pierwszym PeCetem był Eniac. Komputer elektroniczny powstał na potrzeby wojska. W czasie wojny potrzebna była precyzja działań do której używano matematyki. Np. artyleria: aby oddać...
Przydatność 60% Pierwszy rozbiór Polski.
Pierwsze porozumienie o rozbiorze przedstawiciele Rosji i Prus podpisali w Petersburgu 17 lutego 1772 roku. Oznaczono, jakie obszary zagarną dwa państwa, przewidziano też udział Austrii, która naturalnie wyprosiła ze swego terytorium Generalność konfederacką. Brzanie tracili grunt pod nogami, ruch dogasał. Częstochowa broniła się do 18 sierpnia, lecz nikłe to miało znaczenie...
Przydatność 70% Eniac - pierwszy komputer
W 1883 roku angielski wynalazca Charles Babbage zaprojektował maszynę liczącą - nie doceniony w swoich czasach i nazwany „ot, jeszcze jedna zabawka” uważany jest dziś za pierwszy komputer. Za to pierwszym PeCetem był Eniac. Komputer elektroniczny powstał na potrzeby wojska. W czasie wojny potrzebna była precyzja działań do której używano matematyki. Np. artyleria: aby...
Przydatność 55% Pierwszy dzień wiosny
Pierwszy dzień wiosny Ta kalendarzowa rozpoczyna się 21 marca. Kojarzy nam się z topieniem Marzanny. Szczególnie cieszą się na to dzieci! Najpierw robią ogromną słomianą kukłę, a potem podpalona wrzucają do wody. Wierzą, że zima odpłynie wraz z płonącą Marzanną. Dla jednych jest symbolem miłości, dla innych-nowego życia. Wiosną właśnie zauważamy...
0 odpowiada - 0 ogląda - 1 rozwiązań
1 0
rybitwa11 6.12.2011 (19:50)
rozw w zał
Załączniki
Dodawanie komentarzy zablokowane - Zgłoś nadużycie