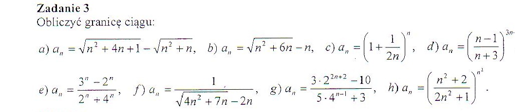
Treść zadania
Autor: czarnulka0710 Dodano: 5.12.2011 (19:01)
prosze o rozwiązanie chociarz kilku przykładów
Komentarze do zadania
-
antekL1 8.12.2011 (08:19)
Ja bym napisał: podziel zadanie na części, ale Ewa zlitowała się, podziwiam Cię Ewo!
Zadanie jest zamknięte. Autor zadania wybrał już najlepsze rozwiązanie lub straciło ono ważność.
Najlepsze rozwiązanie
Rozwiązania
Podobne zadania
|
|
1 rozwiązanie | autor: Smakolyki 17.11.2010 (16:46) |
|
|
2 rozwiązania | autor: renifer 24.11.2010 (18:30) |
|
|
1 rozwiązanie | autor: karolinkaw2008 12.1.2011 (21:31) |
|
|
1 rozwiązanie | autor: AchillesI 12.5.2011 (15:38) |
|
|
1 rozwiązanie | autor: Prezes 31.5.2011 (21:29) |
Podobne materiały
Przydatność 65% Samorząd terytorialny kilku państw Europy.
Samorząd terytorialny klilku państw Europy. Samorząd terytorialny Szwecji. Królestwo Szwecji to kraj o powierzchni równej niemalże 450 000 km². Występuje tu dwuszczeblowy samorząd lokalny: istnieje 290 gmin (kommun) i 21 województw (landstig). Najmłodszą gminą jest Knivsta, która odłączyła się od gminy Uppsala w 2003 roku. Kraj zamieszkiwany jest przez ponad 9...
Przydatność 50% Po kilku latach spotkanie z Wokulskim - wywiad .
Z Stanisławem Wokulskim podczas inauguracyjnego balu otwarcia nowego budynku uniwersytetu w Paryżu rozmawia Halina Skorupka. - Jak to się stało, że Pan znalazł się dziś z nami w cudownym Paryżu? Po wyjeździe z Warszawy jeździłem po świecie w poszukiwaniu szczęścia. Byłem w różnych ciekawych miejscach, które fascynowały mnie swoja pięknością, ale w żadnych z nich...
Przydatność 60% Prawo karne skarbowe - opracowanie kilku wykładów
Norma jest to wypowiedź wskazująca sposób zachowania, określająca zakaz, nakaz lub też upoważniająca do określonego postępowania. Przestrzeganie tej normy jest zagwarantowane przymusem państwowym. Źródła prawa: - Konstytucja, - Ustawy, - Rozporządzenia RM, - Ratyfikowane umowy międzynarodowe, - Uchwały RM - normy ogólne (lex generalis – reguła powszechna) -...
Przydatność 60% Barokowa miłość - wyjaśnij na kilku przykładach.
Barok - miłość cielesna, ziemska jest potępiona 1. Koncept - wiersz musiał być zaskakujący i w miarę możliwości nowatorski; „Do trupa” Morsztyn Naborowski 13. Oksymoron- zestawienie dwóch wyrazów sprzecznych znaczeniowo, „mróz gorejący, ogień lodowy” 18. Paradoks- sformułowanie zaskakujące swoją treścią na pozór bez sensu, sprzeczne z logiką - lecz po...
Przydatność 75% Agresja rozpatrywana w kilku kierunkach psychologicznych
Agresja to działanie zamierzone w formie fizycznej lub słownej, której jest celem wyrządzenie krzywdy, zadanie bólu lub cierpienia innej osobnej bądź sobie samemu. Wyróżnia się wiele form agresji. Agresję można podzielić na antyspołeczna (wyrażaną w sposób nieakceptowany społecznie) oraz prospołeczną (służącą celą społecznie akceptowanym). Często źródłem agresji...
0 odpowiada - 0 ogląda - 1 rozwiązań
1 0
52ewa 6.12.2011 (22:24)
W załączniku kilka przykładów
Załączniki
Dodawanie komentarzy zablokowane - Zgłoś nadużycie