Treść zadania

Banderas83

zad1. Podaj wzory sumaryczne i półstrukturalne oraz nazwy trzech rozgałęzionych alkoholi jednowodorotlenowych każdy o innej rzędowości.Napisz ich reakcje utleniania oraz nazwij otrzymane produkty.

zad2. Podaj wzory sumaryczne i półstrukturalne oraz nazwy 2 rozgałęzionych aldehydów i napisz (reakcje) z jakich związków i w jaki sposób można je otrzymać.

zad3. Jak odróżnić od siebie alkohole i fenole - odpowiedź uzasadnij (w oparciu o dwa alkohole i dwa fenole) i poprzyj odpowiednimi reakcjami.

Zadanie jest zamknięte. Autor zadania wybrał już najlepsze rozwiązanie lub straciło ono ważność.

Najlepsze rozwiązanie

  • 1 0

    Zad 1.
    wzory sumaryczne :
    Alkohol I-rzędowy
    C_{4}H_{9}OH

    Alkohol II-rzędowy
    C_{5}H_{11}OH

    Alkohol III- rzędowy
    C_{4}H_{9}OH

    załącznik...
    Alkohole III-rzędowe utleniają się trudno. Pod wpływem silnych środków utleniajacych następuje rozpad łańcucha węglowego i powstają rózne związki z mniejszą ilością atomów węgla w czasteczce.

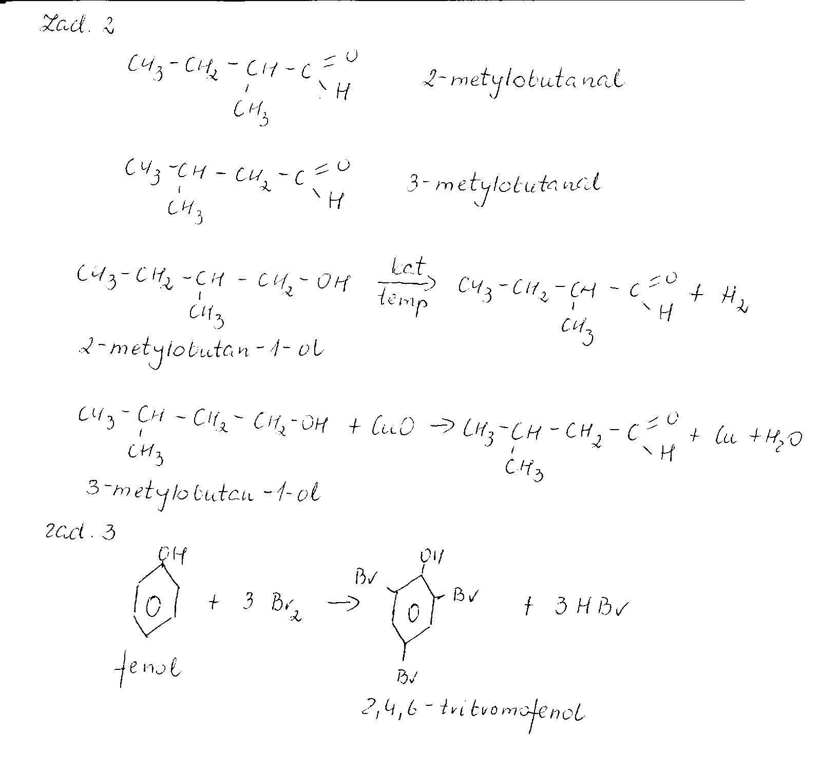
    Zad 2.
    Wzór sumaryczny

    C_{4}H_{9}CHO

    załącznik...

    Aldehydy otrzymujemy z odpowiednich alkoholi I-rzędowych przez katalityczne odwodornienie lub utlenianie.

    Zad 3.
    Wszystkie fenole dają charakterystyczne zabarwienie z chlorkiem żelaza (III) (FeCl3). Fenole jednowodorotlenowe zabarwiają się na fioletowo lub na niebiesko.Alkohole tej reakcji nie dają.

    Zasadniczą róznicę między właściwosciami grupy OH w alkoholach i fenolach widać przy podstawianiu tej grupy np.kwasem bromowodorowym .Alkohole dają odpowiednie bromki , a w przypadku fenoli reakcja nie zachodzi.

    C_{2}H_{5}OH + HBr \xrightarrow {stez.H_{2}SO_{4}} C_{2}H_{5}Br + H_{2}O

    Z kolei alkohol metylowy (metanol) nie będzie reagował z wodą bromową,a fenol ulega reakcji bromowania pod działaniem wody bromowej i powstaje tribromofenol.

    załacznik...



    załącznik....

    Załączniki

Rozwiązania

Podobne zadania

ewela2010 podaj wzór strukturalny związków organicznych: a) palamitynian potasu b) Przedmiot: Chemia / Liceum 1 rozwiązanie autor: ewela2010 27.3.2010 (19:07)
asienkaanml napisz równanie reakcji kwasu mrówkowego z alkoholem etylowym oraz podaj Przedmiot: Chemia / Liceum 3 rozwiązania autor: asienkaanml 30.3.2010 (15:10)
martus91 podaj reakcje Przedmiot: Chemia / Liceum 2 rozwiązania autor: martus91 12.4.2010 (19:22)
kasiia8 narysować i nazwać wzory półstrukturalne izomerów DIMETYLOHEKSANU Przedmiot: Chemia / Liceum 2 rozwiązania autor: kasiia8 13.4.2010 (15:58)
ania_9691 Wodny roztwór kwasu azotowego (III) zawiera 0.04 mola jonów H +, oraz 3.16 Przedmiot: Chemia / Liceum 1 rozwiązanie autor: ania_9691 19.4.2010 (12:21)

Podobne materiały

Przydatność 70% Kwasy- wzory i nazwy

NAZWA Hm Rn WZÓR
SOLNY HCl
SIARKOWODOROWY H2S
CYJANOWODOROWY HCN
BROMOWODOROWY HBr
JODOWODOROWY HJ
SIARKOWY (VI) H2SO4
SIARKOWY(IV) H2SO3
WĘGLOWY H2CO3
ORTOFOSFOROWY(V) H3PO4
AZOTOWY(V) HNO3
AZOTOWY(III) HNO2
CHLOROWY(I) HClO
CHLOROWY(III) HClO2
CHLOROWY(V) HClO3
CHLOROWY(VII) HClO4
MANGANOWY(VII) HMnO4
MANGANOWY(VI) H2MnO4...

Przydatność 70% Kwasy i Sole -wzory chemiczne i nazwy

Kwasy Wzór nazwa chemiczny H2SO4 Kwas siarkowy (VI) H2SO3 Kwas siarkowy (IV) HNO3 Kwas azotowy (V) HNO2 Kwas azotowy (III) H3PO4 Kwas fosforowy (V) HClO Kwas chlorowy (I) HClO2 Kwas chlorowy (III) HClO3 Kwas chlorowy (V) HClO4 Kwas chlorowy (VII) HCl(aq) Kwas chlorowodorowy HBr(aq) Kwas bromowodorowy...

Przydatność 50% Wzory

Kinematyka V= s : t – szybkość średnia (ruch jednostajny) a= V : t – przyspieszenie (ruch przyspieszony) s= (a*t2) : 2 – droga (ruch przyspieszony) V= a*t – prędkość końcowa (ruch przyspieszony) s= 0,5 * V0 * t – droga w ruchu jednostajnie opóźnionym Dynamika F [N] – siła 1N = kg*m/s2 Fw – siła wypadkowa m [kg] – masa Fc –...

Przydatność 55% Wzory

l = 2п r – długość okręgu п = 3,14 P = п r2 – pole koła a√2 – przekątna w kwadracie h = (a√3) : 2 – wysokość trójkąta równobocznego P = (a√3) : 4 – pole trójkąta równobocznego r = h : 3 – promień okręgu wpisanego w trójkąt równoboczny R = 2h : 3 – promień okręgu opisanego na trójkącie równobocznym r = a :2 –...

Przydatność 60% Wzory

tresc w załączniku

0 odpowiada - 0 ogląda - 1 rozwiązań

Dodaj zadanie

Zobacz więcej opcji