Treść zadania

Saheli

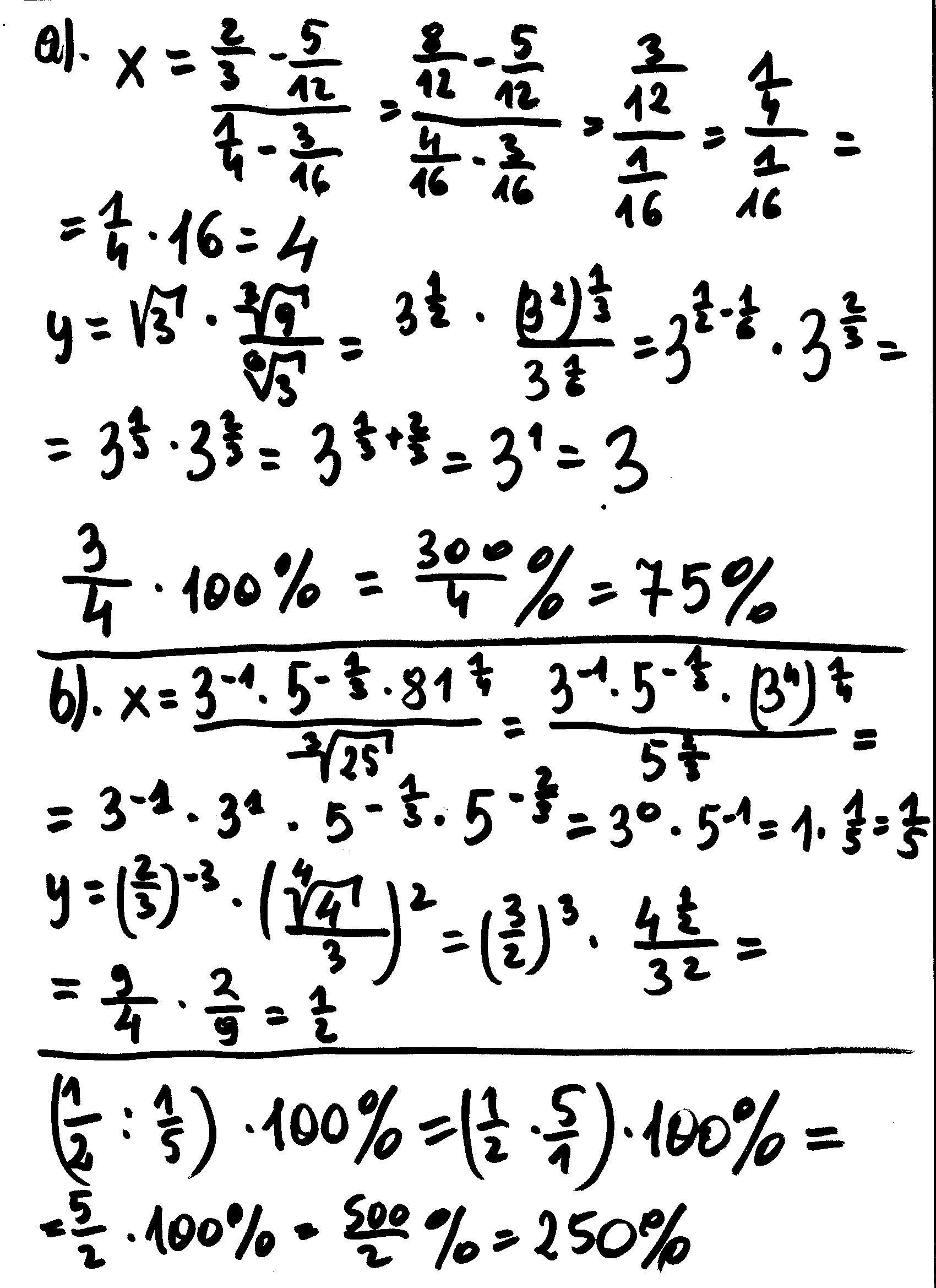
Zadanie w załączniku.!
Z góry dzięki za pomoc.!
:*

Załączniki do zadania

Zadanie jest zamknięte. Autor zadania wybrał już najlepsze rozwiązanie lub straciło ono ważność.

Najlepsze rozwiązanie

Rozwiązania

Podobne zadania

hmm Badanie trójmianu kwadratowego - zadanie optymalizacyjne. Przedmiot: Matematyka / Liceum 1 rozwiązanie autor: hmm 29.3.2010 (18:21)
lestat919 zadanie - promień okręgu Przedmiot: Matematyka / Liceum 1 rozwiązanie autor: lestat919 6.4.2010 (18:17)
mania1408-k1 proszę o pomoc zadania na jutro. Przedmiot: Matematyka / Liceum 2 rozwiązania autor: mania1408-k1 13.4.2010 (16:43)
mania1408-k1 proszę o pomoc zadania na jutro. Przedmiot: Matematyka / Liceum 1 rozwiązanie autor: mania1408-k1 13.4.2010 (16:49)
bombecka88 Zadanie matematyka pomocy Przedmiot: Matematyka / Liceum 1 rozwiązanie autor: bombecka88 14.4.2010 (11:45)

Podobne materiały

Przydatność 60% Dzikie koty

1. Wstęp Koty to zwierzęta występujące na całym świecie z wyjątkiem stref podbiegunowych, które potrafiły przystosować się zarówno do wilgotnych lasów tropikalnych, do sawanny i półpustynni, a także do wysokich gór. Jedyny z kotowatych, udomowiony przez człowieka, to kot domowy oraz częściowo wykorzystywany w łowiectwie - gepard. Na pozostałe polowano aż do...

Przydatność 60% Dzikie wysypiska- na przykładzie Szwajcarii

1.Wprowadzenie. Skąd się biorą odpady? Czy znacie inną istotę, która by je wytwarzała? W takim znaczeniu, w jakim my rozumiemy to pojęcie – z pewnością nie. Człowiek zdobył i ucywilizował całą Ziemię, ale postęp niesie za sobą ofiary – nasze środowisko jest jedną z nich. Dziś niewytwarzanie odpadów nie jest możliwe – stały się one nieodłączną...

Przydatność 80% Pierwsza pomoc - pomoc przedmedyczna

Pierwsza Pomoc Przedmedyczna Pierwsza pomoc przedmedyczna to czynności ratownika (osoby udzielającej pierwszą pomoc) prowadzące do zabezpieczenia i utrzymania przy życiu osoby poszkodowanej, do czasu przyjazdu wykwalifikowanych służb. Etapy pierwszej pomocy 1. ocena sytuacji 2. zabezpieczenie miejsca zdarzenia 3. ocena stanu poszkodowanego 4. wezwanie pomocy - 999 ? Pogotowie...

Przydatność 55% Analiza Finansowa- zadanie

praca w załącznikach

Przydatność 80% Zadanie z fizy

1.46 Z ciała o masie m1= 11000kg następuje strzał w kierunku poziomym. Masa pocisku wynosi m2= 54kg. Oblicz prędkość, z jaką działo zostaje odrzucone wstecz, jeśli prędkość pocisku wynosi v2= 900 m/s. m1= 11000 kg m2= 54 kg v1 = ? v2 = 900 m/s Po = Pk Po=(m1+m2)* V V= 0 – na początku działo jest w spoczynku 0=m2*v2 – m1*v1 m1*v1 = m2*v2 v1=...

0 odpowiada - 0 ogląda - 2 rozwiązań

Dodaj zadanie

Zobacz więcej opcji