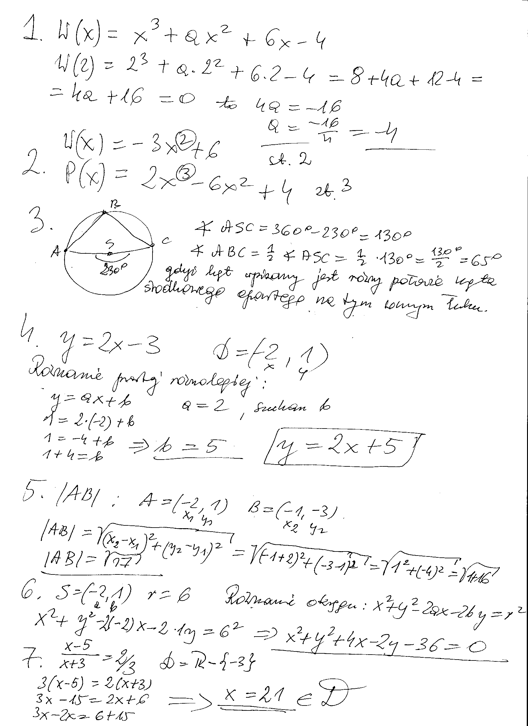
Treść zadania

Maja1414

Help! Daje naj. ((; Proszę o jak najwięcej szczegółów.
1) Wyznacz AvB, A^B, A\B, B\A gdy
A zbiór dzielników całkowitych 14
B- zbiór dzielników naturalnych 28

2) Przedstaw rozkład liczby:
a)96
b)144
c) 252

Zadanie jest zamknięte. Autor zadania wybrał już najlepsze rozwiązanie lub straciło ono ważność.

Najlepsze rozwiązanie

  • 1 0

    A={-1.-2.-7,-14,1,2,7,14}
    B={1,2,4,7,14,28}
    AVB={-1,-2,-7,-14,1,2,4,7,14,28}
    A^B= {1,2,7,14}
    A/B={ -1,-2,-7,-14}
    B/A={28}
    --------------------------
    96=2*2*2*2*2*3
    144=2*2*2*2*3*3
    252=2*2*3*3*7

    Załączniki

Rozwiązania

Podobne zadania

MartaGrzeszczak1 Dany jest trójkąt o wierzchołkach A=(-4, 2) B=(0,4) C=(6,-4) a) wyznacz Przedmiot: Matematyka / Liceum 2 rozwiązania autor: MartaGrzeszczak1 29.3.2010 (17:43)
nikola29 wyznacz wszystkie liczby a i b dla których równanie ax - 4b = 2x = 8 nie Przedmiot: Matematyka / Liceum 2 rozwiązania autor: nikola29 15.4.2010 (19:01)
aanitkaaa nie daje już z nim rady!:( Przedmiot: Matematyka / Liceum 1 rozwiązanie autor: aanitkaaa 15.4.2010 (21:53)
lukaszunkile Wyznacz współrzędne punktów, w których prosta o równaniu x + 2y + 3 = 0 Przedmiot: Matematyka / Liceum 1 rozwiązanie autor: lukaszunkile 18.4.2010 (16:16)
krystian2409 Wyznacz równanie prostej do funkcji homograficznej Przedmiot: Matematyka / Liceum 1 rozwiązanie autor: krystian2409 26.4.2010 (15:43)

Podobne materiały

Przydatność 100% Help my planet

I help my planet, that to be clean. Next my house there are a lot of boxes. These boxes are on glass, paper, cans and plastic. When I have a lot of bottles, old newspappers I put them in boxes. I’m very angry when I see factories near forests. I fight on an issue these factories. I do a lot to save energy. When I don’t need the light, I turn the light off. At my school it was the campaign...

Przydatność 100% Lets help old people

!!!Let’s help old people!!! We want to raise money for the old people’s home and buy a DVD player. Here are some ideas to quick raise money: -Help your parents in house cleaner. -Sell your old toy’s. -paint your neighbor fence. -Do the shopping.

Przydatność 65% List, w którym wyznacze cele na nowy rok szkolny.

Przysietnica 02.09.2009 Angeliko! Pierwszego września rozpoczęłam nowy rok szkolny. Pamiętam, że jest to dzień szczególny, także z powodu siedemdziesiątej rocznicy wybuchu II Wojny Światowej. Wiem, że wtedy wiele dzieci ie mogło...

Przydatność 80% Czy bogactwo daje szczęście?

To pytanie jest celem moich rozważeń. Postaram się, przy pomocy poniższych argumentów, rozstrzygnąć ten problem. Czym jest zatem bogactwo? „Słownik języka polskiego” wyjaśnia znaczenie tego słowa, uznając za bogactwo zbiór dóbr mających dużą wartość, stanowiących majętność, dostatek, zamożność. Różne są rodzaje bogactw. Mówiąc o bogactwie...

Przydatność 75% Czy bogactwo daje szczęście

Recepta na szczęście to bardzo indywidualna sprawa każdego człowieka. Najczęściej przyjmuje się, że jest to uczucie zadowolenia z życia, spełnienie marzeń, realizacja planów życiowych itp. Niektórzy szczęście utożsamiają przede wszystkim z zapewnieniem sobie i swoim najbliższym poczucia bezpieczeństwa materialnego. Są jednak i tacy, dla których samo pytanie o...

0 odpowiada - 0 ogląda - 1 rozwiązań

Dodaj zadanie

Zobacz więcej opcji